Всего за 114.9 руб. Купить полную версию
9. МЕТОД УЗЛОВОГО НАПРЯЖЕНИЯ
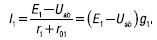
Метод узлового напряжения дает возможность просто произвести анализ и расчет электрической цепи, содержащей несколько параллельно соединенных активных и пассивных ветвей, например цепи, схема которой изображена на рисунке 12.

Рис. 12. Схема электрической цепи
Пренебрегая сопротивлением проводов, соединяющих ветви цепи, схему (рис. 12а) можно заменить более удобной для рассмотрения (рис. 12б).
В зависимости от значений и направлений ЭДС и напряжений, а также значений сопротивлений ветвей между узловыми точками а и b установится определенное узловое напряжение Uab . Предположим, что оно направлено так, как показано на рисунке 12, и известно. Зная напряжение Uab , легко найти все токи.
Выберем положительные направления токов, например так, как показано на рисунке. Тогда по второму закону Кирхгофа для контура, проходящего по первой ветви,
![]()
откуда:
![]()
Поступая аналогичным способом, нетрудно получить формулы для токов I 2, I 3 и I 4: ![]()
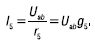
По закону Ома для пятой ветви:
![]()
Для вывода формулы, позволяющей определить напряжение Uab . Преобразуем формулу по первому акону Кирхгофа:
![]()
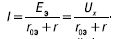
Формула узлового напряжения в общем случае имеет вид: ![]()
Перед определением напряжения по последней формуле следует задаться его положительным направлением. Со знаком "+" должны входить ЭДС, направленные между точками а и b встречно напряжению Uab , и напряжения ветвей, направленные согласно с Uab . Знаки в последней формуле не зависят от направления токов и ветвей. При анализе и расчете электрических цепей методом узлового напряжения целесообразно выбирать положительные направления токов после определения узлового напряжения. В этом случае положительные направления токов нетрудно выбрать таким образом, чтобы все они совпадали с их действительными направлениями.
10. МЕТОД НАЛОЖЕНИЯ
Метод наложения основан на том, что в линейных электрических цепях ток любой ветви может быть определен как алгебраическая сумма токов от каждого источника в отдельности.
Расчет электрических цепей методом наложения производят в таком порядке. Из электрической цепи удаляют все источники ЭДС и напряжения, кроме одного. Сохранив в электрической цепи все резистивные элементы, в том числе и внутренние сопротивления источников, производят расчет электрической цепи. Внутренние сопротивления источников с указанными напряжениями полагают равными нулю.
Подобным образом поступают столько раз, сколько имеется в цепи источников.
Результирующий ток каждой ветви определяют как алгебраическую сумму токов от всех источников.
Для того чтобы результирующие токи совпадали с действительными направлениями, целесообразно выбирать положительные направления результирующих токов после определения токов от всех источников.
Метод наложения весьма удобен для анализа явлений, происходящих в электрических цепях при изменении их параметров.
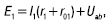
Например, используя метод наложения, нетрудно определить характер изменения токов ветвей в цепи (см. рис. 13) при увеличении ЭДС E 1 до E 1′ .

Рис. 13. Схема электрической цепи
Действительно, предположим, что при некоторых параметрах цепи до увеличения E 1 установились токи, действительные направления которых совпадают с указанными на рисунке 13. Для решения задачи заменим мысленно увеличение ЭДС E 1 введением в первую ветвь дополнительного источника с r 0доп = 0 и Е доп = E 1′ – E 1. После этого удалим из цепи все источники, кроме источника с ЭДС Е доп, и определим действительные направления дополнительных токов от этого источника, которые очевидны.
Поскольку дополнительный ток первой ветви I 1доп будет совпадать по направлению с током I 1, для определения результирующего тока первой ветви следует воспользоваться формулой I 1′ = I 1 + I 1доп. На основании данной формулы можно сделать вывод о том, что при увеличении Е 1 ток I 1 будет возрастать.
К такому же выводу можно прийти и в отношении токов других ветвей, кроме третьей.
Так как дополнительный ток третьей ветви I 3доп направлен против тока I 3, то для определения результирующего тока нужно использовать формулу I 3′ = I 3 + I 3доп. В отношении результирующего тока третьей ветви можно сделать такой вывод: при увеличении ЭДС Е 1 ток I 3 будет сначала уменьшаться, при некотором значении Е 1 окажется равным нулю, а при дальнейшем увеличении Е 1 изменит направление ( I 3 < 0) и по абсолютному значению будет возрастать.
11. МЕТОД ЭКВИВАЛЕНТНОГО ГЕНЕРАТОРА
Метод эквивалентного генератора дает возможность упростить анализ и расчет электрических цепей в том случае, когда требуется определить ток, напряжение или мощность лишь одной ветви.

Рис. 14. Схема электрической цепи эквивалентного генератора
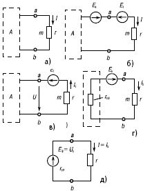
Предположим, что требуется найти ток I ветви amb некоторой электрической цепи (рис. 14а), остальные элементы которой сосредоточены в предела прямоугольника, представляющего собой активный двухполюсник А .
Согласно методу наложения ток I не изменится, если в данную ветвь ввести два источника, ЭДС которых Е 1 и Е Э равны и направлены в разные стороны (рис. 14б).
Ток I можно определить как разность двух токов: I = I Э + I 1,
где I 1 – ток, вызванный всеми источниками двухполюсника А и ЭДС Е 1 (рис. 14в);
I Э – ток, вызванный только ЭДС Е Э (рис. 14г).
Если выбрать ЭДС Е 1 таким образом, чтобы получить I 1 = 0, то ток I будет равен:
![]()
где r 0Э – эквивалентное сопротивление двухполюсника А относительно выводов а и b .
Так как при I 1 = 0 (рис. 14в) активный двухполюсник А будет работать относительно ветви amb в режиме холостого хода, то между выводами a и b установится напряжение холостого хода U = Ux и по второму закону Кирхгофа получим E 1 = I 1 r + Ux . Но по условию Е Э = Е 1, поэтому и Е Э = Ux . Учитывая это, формулу для определения тока I можно записать в такой форме:
![]()
В соответствии с последней формулой электрическая цепь (рис. 14а) может быть заменена эквивалентной цепью (рис. 14д), в которой Е Э = Ux и r 0Э следует рассматривать как ЭДС и внутреннее сопротивление некоторого эквивалентного генератора.
В результате возможности такой замены и возникло название изложенного метода.
Значения Е Э = Ux и r 0Э можно определить как расчетным, так и экспериментальным путем. Для расчетного определения Ux и r 0Э необходимо знать параметры элементов активного двухполюсника А и схему их соединения. При определении сопротивления r 0Э необходимо удалить из схемы двухполюсника все источники, сохранив все резистивные элементы, в том числе и внутренние сопротивления источников ЭДС. Внутренние сопротивления источников с указанными напряжениями следует принять равными нулю.