Всего за 114.9 руб. Купить полную версию

Рис. 6. Схема соединения резистивных элементов треугольником (а) и звездой (б)
Для упрощения анализа и расчета некоторых электрических цепей, содержащих соединения резистивных элементов треугольником, целесообразно заменить их эквивалентными резистивными элементами, соединенными звездой (рис. 6б). Примером подобных электрических цепей являются мостовые цепи (рис. 7а). Как видно, в мостовой цепи резистивные элементы образуют два смежных треугольника ( r ab, r bc, r ca и r bc, r bd, r dc) и нет ни одного элемента, который был бы соединен с другими последовательно или параллельно. Это осложняет расчет и анализ электрической цепи. Если заменить, например, резистивные элементы r ab, r bc и r ca, соединенные треугольником, эквивалентными элементами r a, r b и r c, соединенными звездой (рис. 7б), получим цепь со смешанным соединением резистивных элементов.

Рис. 7. Схема мостовой цепи (а) и соответствующая ей схема после замены одного из треугольников звездой (б)
Замена треугольника резистивных элементов эквивалентной звездой должна производиться таким образом, чтобы после указанной замены токи в остальной части цепи, а также напряжения между точками ab , bc и ca остались без изменения.
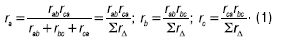
С помощью законов Кирхгофа можно получить следующие формулы для определения сопротивлений эквивалентной звезды:
![]()
Иногда оказывается целесообразным заменить резистивные элементы, соединенные звездой, эквивалентным треугольником. Соответствующие формулы можно получить путем совместного решения выражений (1).
7. ПОНЯТИЕ ОБ ИСТОЧНИКЕ ТОКА
При расчете и анализе электрических цепей используют источники электрической энергии с параметрами E и r 0, т. е. источники ЭДС, либо источники с указанными напряжениями. Иногда оказывается целесообразным заменить источник ЭДС эквивалентным ему источником тока, параметрами которого являются неизменные по значению ток короткого замыкания I k и сопротивление r 0. Рассмотрим источник тока на примере электрической цепи (см. рис. 8), в которой источник ЭДС заменим эквивалентным источником тока.

Рис. 8. Электрическая цепь
Источник тока следует считать эквивалентным в том случае, если после замены им источника ЭДС значения тока I , напряжения U и отдаваемой источником мощности UI при различных значениях сопротивления r внешней цепи остаются без изменения. Это условие будет выполнено, если источник тока будет иметь такую же внешнюю характеристику, какую имеет источник ЭДС.
Воспользуемся указанным соображением для обоснования структуры электрической цепи источника тока. Разделив левую и правую части уравнения внешней характеристики источника ЭДС на сопротивление r 0, получим
![]()
где
![]()
– ток короткого замыкания источника ЭДС, являющийся вместе с тем одним из параметров источника тока;
![]()
– некоторый ток, определяемый как частное от деления U на r 0.
Решив (1) относительно
![]()
или I k = I 0 + I . (2)
Так как токи I 0 и I определяются путем деления одного и того же напряжения U на соответствующие сопротивления, то в электрической цепи с источником тока должны быть две ветви с соединенными параллельно резистивными элементами r 0 и r . Согласно (2) параллельно указанным ветвям должна быть включена третья ветвь, содержащая элемент с током I k.

Рис. 9. Схема электрической цепи
Схема электрической цепи, эквивалентная приведенной на рисунке 8, но содержащая источник тока, дана на рисунке 9а. Элемент с током I в совокупности с резистором r 0 и представляет собой источник тока:
![]()
Получили уравнение внешней характеристики I ( U ) источника тока. Уравнение (3) и внешняя характеристика, построенная с помощью этого уравнения (рис. 9б), дадут при любом режиме работы цепи такие же значения тока I и напряжения U , как и в случае источника ЭДС.
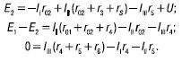
8. МЕТОД ЗАКОНОВ КИРХГОФА. МЕТОД КОНТУРНЫХ ТОКОВ
Покажем на схеме положительные направления известных и неизвестных величин. Сначала следует составить более простые уравнения по первому закону Кирхгофа , максимальное число которых должно быть на единицу меньше числа узловых точек. Недостающие уравнения следует составить по второму закону Кирхгофа .
В качестве примера составим схему уравнений для определения токов в электрической цепи, схема которой изображена на рисунке 10. Будем считать, что ЭДС и напряжения с их направлениями, а также сопротивления известны. Поскольку данная цепь имеет пять ветвей с неизвестными токами, необходимо составить пять уравнений. Выбрав положительные направления токов I 1, I 2, I 3, I 4 и I 5 для узлов а и б , а также для контуров агда , абга и бвгб при обходе последних по часовой стрелке, получим:

Рис. 10. К расчету разветвленных электрических цепей с помощью законов Кирхгофа
Рис. 11. К пояснению метода контурных токов
Метод контурных токов дает возможность упростить расчет электрических цепей по сравнению с методом законов Кирхгофа за счет уменьшения числа уравнений, которые приходится решать совместно.
Любая разветвленная электрическая цепь состоит из нескольких смежных контуров. Например, в электрической цепи (рис. 10) таких контуров три: абвга , бдвб и аедба . Каждый контур имеет несмежные ветви, принадлежащие лишь данному контуру, и смежные ветви, принадлежащие также соседним контурам. Так, контур абвга имеет несмежную ветвь вга и две смежные ветви аб и бв .
Допустим, что в каждом контуре (рис. 11) имеется некоторый контурный ток, одинаковый для всех элементов контура. На рисунке 11 контурные токи обозначены I I, I II и I III. Положительные направления контурных токов могут быть выбраны произвольно. Наложим на контурные токи следующее условие: контурные токи должны быть равны по абсолютному значению токам несмежных ветвей соответствующих контуров.
Если выбрать положительное направление тока несмежной ветви совпадающим с контурным током, то ток ветви должен быть равен контурному току; если же направить ток несмежной ветви против контурного тока, то он должен быть равен контурному току со знаком "–".
Так, токи в несмежных ветвях цепи будут равны: I I = I I; I 3 = – I II; I 6 = – I III;
I 2 = I 1 + I 3 = I I – I II ; I 4 = I I + I III; I 5 = I III + I II.
Видно, что со знаком "+" должен быть взят тот контурный ток, направление которого совпадает с направлением тока смежной ветви; контурный ток, направленный в противоположную сторону, должен быть взят со знаком "–".
Уравнение по второму закону Кирхгофа при включении в него контурных токов в общем случае имеет вид:
![]()
Для рассматриваемой цепи (рис. 11) уравнения будут:
