Всего за 114.9 руб. Купить полную версию

Рис. 3. Схема простейшей электрической цепи
Для рассматриваемой электрической цепи по второму закону Кирхгофа можно написать:
![]()
Из приведенных уравнений нетрудно получить формулу для определения тока и соотношение между напряжением и ЭДС источника: ![]()
где r М = r 0 + r – эквивалентное сопротивление цепи.
При неизменных значениях ЭДС Е и внутреннего сопротивления r 0 ток в цепи зависит от сопротивления r приемника. Напряжение источника U (равное в данной цепи напряжению приемника) меньше его ЭДС на падение напряжения Ir 0 во внутреннем сопротивлении источника.
Если умножить (1) и (4) на ток, получим соотношения между мощностями:
EI = I 2 r 0 + I 2 r ; (5)
UI = EI – I 2 r 0. (6)
Правая часть (5) содержит потери мощности во внутреннем сопротивлении I 2 r 0 и мощность, потребляемую приемником I 2 r . Произведение EI представляет собой мощность, вырабатываемую источником, т. е. электрическую мощность, преобразуемую им из другого вида мощности; например, если это генератор, – из механической мощности.
Если из вырабатываемой мощности вычесть потери мощности во внутреннем сопротивлении источника I 2 r 0, получим мощность UI , отдаваемую источником во внешнюю цепь. Мощность, отдаваемая источником в данной цепи, равна мощности, потребляемой приемником, UI = I 2 r . В связи с выражениями (5) и (6), а также схемой на рисунке 3 можно сделать вывод: вырабатываемая источником мощность определяется произведением тока на ЭДС, совпадающую по направлению с током, отдаваемая им мощность – произведением тока на напряжение, направленное внутри источника против тока; мощность, потребляемая приемником, определяется произведением тока на напряжение, совпадающее по направлению с током. Такие взаимные направления тока и ЭДС, а также тока и напряжения характерны для источников и приемников и в других электрических цепях. Учитывая это, выражения мощностей, вырабатываемых и отдаваемых источниками, а также потребляемых приемниками, могут быть записаны следующим образом:
![]()
Отношение мощности, отдаваемой источником, к вырабатываемой им мощности представляет собой КПД источника: ![]()
4. ЭЛЕКТРИЧЕСКИЕ ЦЕПИ С ПОСЛЕДОВАТЕЛЬНЫМ СОЕДИНЕНИЕМ РЕЗИСТИВНЫХ ЭЛЕМЕНТОВ
Последовательным называется такое соединение элементов, когда условный конец первого элемента соединяется с началом второго, конец второго – с началом третьего и т. д. Характерным для последовательного соединения является один и тот же ток во всех элементах.

Рис. 4. Схема электрических цепей с последовательным соединением резистивных элементов
Пример: последовательно с приемником r часто включается резистор r р для регулирования напряжения, тока и мощности приемника (рис. 4а). Для расширения пределов измерения вольтметров последовательно с ними включают добавочные резисторы r д (рис. 4б). С помощью реостата, включаемого последовательно в различные ветви цепи двигателя постоянного тока, производят изменение его пускового тока или частоты вращения.
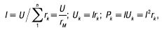
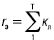
В общем случае при последовательном соединении n резистивных элементов (рис. 4в) ток в цепи, напряжения на элементах и потребляемые ими мощности определяются следующими соотношениями:
![]()
где k = 1, 2, ..., n – номер элемента;
![]()
– эквивалентное сопротивление цепи.
Напряжение и мощность всей цепи:
![]()
Соотношение между напряжениями, мощностями и сопротивлениями элементов:
![]()
где l = 1, 2, ..., n – номер элемента. Приемники электрической энергии последовательно, как правило, не соединяются, так как при этом требуется согласование номинальных данных приемников, исключается возможность независимого их включения и отключения, а при выходе из строя одного из приемников отключаются также остальные приемники. Чаще их включают параллельно.
5. ЭЛЕКТРИЧЕСКИЕ ЦЕПИ С ПАРАЛЛЕЛЬНЫМ СОЕДИНЕНИЕМ РЕЗИСТИВНЫХ ЭЛЕМЕНТОВ
Параллельным называется такое соединение резистивных элементов, при котором соединяются между собой как условные начала всех элементов, так и их концы (рис. 5а). Характерным для параллельного соединения является одно и то же напряжение U на выводах всех элементов. Параллельно соединяются различные приемники электрической энергии и другие элементы электрических цепей, рассчитанные на одно и то же напряжение. При параллельном соединении не требуется согласовывать номинальные данные приемников, возможно включение и отключение любых приемников независимо от остальных, а при выходе из строя какого(либо приемника остальные остаются включенными.

Рис. 5. Схемы электрических цепей с параллельным соединением резистивных элементов
Параллельное соединение применяется часто для расширения пределов измерения амперметров (рис. 5б): если ток I в электрической цепи превышает номинальный ток I ном амперметра, параллельно с ним включают шунтирующий резистор r ш. Нередко параллельное соединение используют для уменьшения эквивалентного сопротивления какого-либо участка электрической цепи.
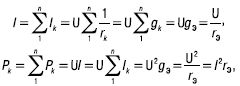
Токи и мощности параллельно соединенных ветвей (рис. 5а) при U = const не зависят друг от друга и определяются по формулам:
![]()
Ток и мощность всей цепи:

где
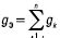
![]()
– эквивалентная проводимость;
r э = 1 / g э – эквивалентное сопротивление.
Соотношения между токами, мощностями, проводимостями и сопротивлениями:
![]()
При увеличении числа параллельно соединенных ветвей эквивалентная проводимость электрической цепи возрастает, а эквивалентное сопротивление, соответственно, уменьшается. Это приводит к увеличению тока I . Если напряжение остается постоянным, то увеличивается также общая мощность P ; токи и мощности ранее включенных ветвей не изменяются.
6. ЭЛЕКТРИЧЕСКИЕ ЦЕПИ,СОДЕРЖАЩИЕ СОЕДИНЕНИЯ РЕЗИСТИВНЫХ ЭЛЕМЕНТОВ ТРЕУГОЛЬНИКОМ
Под соединением треугольником (рис. 6а) понимается такое, при котором вывод К 1 одного из элементов соединяется с выводом Н 2 второго, вывод К 2 второго – с выводом Н 3 третьего, а вывод К 3 третьего – с выводом Н 1 первого элемента. Узловые точки a , b и c подключаются к остальной части электрической цепи.