Всего за 99.9 руб. Купить полную версию

Из этой таблицы видно, что при одном и том же угле расширения струи и клуба в струю должно вовлекаться в
больше окружающего воздуха, чем в клуб. При одинаковом вовлечении вещества в струю и в клуб расширение струйного потока будет меньше, чем угловое расширение клуба. Этот факт подтверждается данными многочисленных экспериментов. Отметим, что в Таблицу 3.5 не вошел класс, соответствующий очень устойчивой атмосфере (класс G). Кроме того, нами включены значения характеристик расширения потока при покоящемся атмосферном воздухе (класс S-штиль). Устойчивость потока в этом случае полностью определяется турбулентностью вещества струи.
Анализ Таблицы № 3.5 показывает, что числовые значения коэффициентов вовлечения в зависимости от условий окружающей среды могут варьироваться в широких пределах, изменяя массы вовлекаемого в выброс воздуха более, чем в десять раз. Соответственно этим массам будут существенно меняться геометрические, динамические и концентрационные характеристики его вещества. Это подтверждает вывод о недопустимости рассмотрения коэфициентов вовлечения в виде единой постоянной величины независимо от метеопараметров.
Для использования полученных в работах [50] и [90] результатов для случая расчета высокотемпературной струй при аварийных ситуациях типа пожара необходимо сделать допущение о характере стандартных отклонений ветра. Предполагается, что стандартные отклонения направления ветра в горизонтальной σθ и вертикальной σθ плоскостях примерно равны, т.е.
σθ ≈ σφ = β
где
- дисперсии углов расширения потока в горизонтальной и вертикальных проекциях соответственно;
β = arc tg(dR/ dl).
Физически это означает, что струя имеет практически круглое сечение. Неизотропность поля ветра относительно поперечных осей не нарушает общности рассмотрения и в большинстве практических задач может не учитываться. Этот эффект следует рассматривать для случаев струйных потоков в непосредственной близости от подстилающей поверхности.
Известно, что величины σθ и σφ, представляющие собой осредненные по времени значения флуктуаций угловых направлений ветра в горизонтальной и вертикальной плоскостях, могут быть получены непосредственно с флюгера.
Подводя итоги этого раздела, можно сформулировать методику нахождения коэффициентов вовлечения, необходимых для создания математических моделей и решения практических задач возникновения и движения в атмосфере газообразных выбросов. Она состоит из трех этапов.
На первом этапе в зависимости от наличия конкретной информации о метеорологических параметрах в месте работы определяется группа устойчивости атмосферы по одной из таблиц 3.1 - 3.4.
На втором этапе по Таблице № 3.5. находят соответствующую группе устойчивости угловую характеристику расширения турбулентного потока σθ и его коэффициент углового расширения к.
Наконец, по формулам (3.14) или (3.19) определяют числовое значение коэффициента вовлечения ς в струйный поток или ςк в компактный объем (клуб) в зависимости от характера выброса.
3.4. Геометрические характеристики формирующихся кратковременных выбросов
Формирование кратковременного выброса существенно зависит не только от расходных характеристик
источника загрязнений и атмосферной турбулентности (через коэффициент вовлечения), но и от формы выброса и от площади его поверхности контакта с атмосферным воздухом. Через эту увеличивающуюся поверхность происходит вовлечение окружающей "холодной" среды, которая определяет газодинамические концентрационные и энергетические характеристики вещества выброса. Рассмотрим на примере истечения газа из сопла, как формируются кратковременные выбросы.
Наблюдения за истечением кратковременных струй из сопел показывают, что форма выброса в зависимости от времени работы ракетного двигателя в первые мгновения меняется от части сферы, ограниченной сегментом вращения, до полусферы. Затем форма выброса может хорошо быть смоделирована как суперпозиция усеченного конуса и полусферы. Увеличение временной координаты для неизменных атмосферных условий приводит лишь к изменению масштаба выброса, остающегося практически самоподобным.
Поскольку истечение из ракетных сопел происходит с большими скоростями, то в первом приближении может быть оправданным подход при котором считается формирование полусферического выброса происходящим за первый шаг интегрирования задачи. Далее выброс представляется суммой полусферы и удлиняющегося усеченного конуса (Рис. 3.4).
Для определения координаты центра масс полусферического выброса х* радиуса R = d0 (Рис. 3.4а) приравняем массы газа в части выброса при х ≤ х* массе газа в части выброса при х > х*.
Получаем:
![]()
В этом выражении:
- радиус сопла;


Рис. 3.4. Схема формирования кратковременного выброса при истечении газа из сопла: а) переходный процесс возникновения выброса в окрестности сопла; б) развитый самоподобный выброс.
- уравнение образующей полусферической поверхности выброса;
ρ1 и ρ2 - плотности газа в левой (х ≤ х*) и правой (х > х*) части выброса, соответственно.
Если предположить, что вещество выброса имеет одинаковую плотность в разных его частях, т.е. ρ1 = ρ2, то приходим к уравнению относительно искомой координаты центра массы х*. Получаем:
![]()
В уравнении (3.21):
- безразмерная продольная координата центра масс.
Решением уравнения (3.21) является ![]()
Необходимо отметить, что координата
![]()
, полученная выше, не зависит от метеоданных и степени турбулентности атмосферы. Это объясняется принятой нами моделью "раздувания" выброса в первые мгновения истечения до полусферического объема без вовлечения окружающего воздуха.
При рассмотрении дальнейшей эволюции выброса координата его центра масс будет функцией угла расширения его конической части, т.е. будет зависеть от турбулентности атмосферы. Для ее нахождения обратимся к Рис. 3.46.
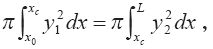
Как следует из него в предложении однородности вещества выброса объем усеченной части выброса до координаты х" должен быть равен сумме объемов остальной части выброса.
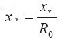
Важной характеристикой при расчетах продольной координаты центра масс кратковременного выброса х* является хс - координата его центра масс, совпадающая с точкой сопряжения его конической и сферической частей. Важность знания хс объясняется существенной разницей в форме выброса в зависимости от того, больше или меньше значение текущей продольной координаты значения хс. Найдем выражение для хс.
Координаты сопряжения хс конической части выброса со сферической определяется приравнивания объемов этих частей выброса.
Получаем: ![]()
где
у1 = кх - уравнение образующей конической поверхности выброса;
- управление поверхности сферической его части.
Подставив значения у1 и у2 в это соотношение, получаем:

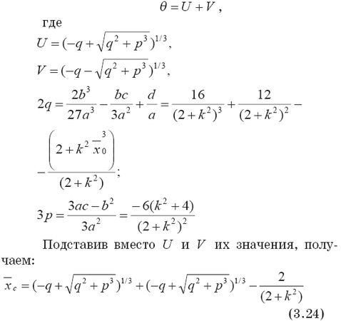
Вещественный корень этого уравнения может быть определен по формуле Кардана [172]:

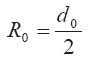
Окончательное выражение для безразмерной продольной координаты сопряжения конической и сферической частей выброса может быть получено при подстановке в соотношение (3.24) вместо р и q их значений. Из-за громоздкости мы его не приводим. Если известен радиус полусферической "шапки" выброса R, то выражение для продольной координаты сопряжения может быть записано в виде компактного соотношения. Приравниваем объем цилиндрической части выброса