![]()
После того как мы применим формулу бинома и к (1 + x²), получим, что в общем члене содержится x. Остается выяснить, принимает ли 5k − 2m все значения от 0 до 100, и если не все, то сколько значений окажутся пропущенными. Следует иметь в виду, что m, k = 0, 1, ..., 20, но m ≤ k.
21.12. Для получения рекуррентной формулы достаточно разобрать два случая: а) в первой группе один элемент (а1); б) в первой группе два элемента (а1, а2).
21.13. Чтобы получить рекуррентную формулу, связывающую Mn и Mn + 1, где через Mn обозначен ответ задачи, нужно найти число точек пересечения (n + 1)-й прямой со всеми остальными. Как с этим числом связано количество вновь образовавшихся областей?
Рекуррентное соотношение будет иметь вид
Mn + 1 = Mn + m + n + 1
К главе 22
22.2. После того как найдена сумма двух первых слагаемых, можно воспользоваться формулой синуса суммы, так как третье слагаемое положительно, но меньше /4, и вся сумма не больше /2.
22.4. Так как оба слагаемых расположены в интервале [0, /2], то все тригонометрические функции от них неотрицательны.
22.5. Воспользоваться формулами приведения с тем, чтобы под знаком арккосинуса стоял косинус, а не синус.
22.9. Если перенести acrsin /5 в правую часть и взять синусы от обеих частей, то в предположении, что x > 0, получим уравнение, равносильное данному.
22.10. После взятия косинусов от обеих частей уравнения получится иррациональное уравнение, при решении которого возможно приобретение посторонних корней.
22.11. Так как обе части лежат в интервале (−/2, /2), то от обеих частей данного уравнения можно взять тангенсы, что не нарушит равносильности.
22.13. Ясно, что в результате взятия котангенсов от обеих частей равенства мы можем получить посторонние корни, так как у неравных углов могут быть равные котангенсы. Однако возможна и потеря корней, если в интервал изменения углов попадает значение kπ.
К главе 23
23.6. Способ 1. B тождестве cos (x + T)² = cos x² удобно выбрать x = 0 и x = √2 T. Вместо второго значения можно выбрать другое иррациональное число.
Способ 2. Если у функции есть период Tr, то x1 + T = xm, x2 + T = xk, где xi − i-й положительный корень функции. Исключив T, получим равенство, которое нужно привести к противоречию.
23.8. Предположить, что функция имеет меньший положительный период, чем наименьшее общее кратное периодов cos /2 и sin /3. Записать тождество и привести его к противоречию, преобразовав разность синусов и разность косинусов в произведения.
К главе 24
24.1. Получившийся квадратный трехчлен можно разложить на множители. Однако такой прием исследования здесь не подойдет, так как аргумент, от которого зависит квадратный трехчлен, сам является функцией от x. Используйте другой прием для исследования квадратного трехчлена.
Выделите полный квадрат.
24.2. Данную функцию удобно записать в виде разности косинусов, поскольку в аргумент каждого синуса входит 2 x - единственное слагаемое, зависящее от x.
24.3. Для этого вынести sin x cos x за скобки.
24.4.А = x + y + 1.
24.5. Найдя наименьшее значение y в каждом из пяти интервалов, мы сравним эти значения друг с другом.
24.6. Для функции y = x + /x мы можем неравенство применить непосредственно и написать
x + /x ≥ 2√a .
Для данной же функции нужно иметь семь слагаемых, содержащих в знаменателе x, чтобы погасить влияние x. (!!)
Представить /x в виде суммы семи одинаковых слагаемых /7x.
24.8. Выразить боковую поверхность как функцию только а + b.
24.9. Удобно ввести угол α между диагональю шестиугольника и диагональю квадрата. Этот угол можно будет найти из условия, что диагонали квадрата взаимно перпендикулярны и должны принимать наибольшую возможную величину.
24.10. B условии сказано, что x - действительное число. Следовательно, дискриминант полученного квадратного уравнения не должен быть отрицательным. Это накладывает ограничения на y.
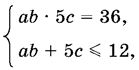
24.11. Чтобы решить систему

удобнее всего найти решение системы уравнений xy = 36 и x + y = 12, где x = ab, y = 5с.
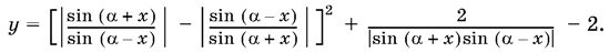
24.12. Данная функция может быть записана в виде
![]()
Обратите внимание на второе слагаемое. Когда оно достигает своего минимума?
24.13. Если acrsin x = α, acrcos x = β, то
α³ + β³ = (α + β) − 3αβ(α + β) = /8 − /2 αβ.
Минимум функции достигается при α > 0 (β не может быть отрицательным), а максимум - при α < 0. Если α > 0, то появляется возможность применить оценку, в силу которой αβ ≤ (/2)².
24.15. После того как система приведена к виду

Теперь нужно ввести новые переменные. А лучше сразу обратить внимание на то, что эти переменные - синусы и косинусы двух углов. (!!)
Левая часть входящего в систему неравенства не что иное, как выражение для синуса суммы. Поэтому она не больше 1, т. е. последнее условие есть равенство. Не забудьте, что нужно найти min (y + w). Поэтому искать следует в области, где y < 0 и w < 0.
Решения
Глава 1
Геометрические задачи на плоскости
1.1. Треугольник А1BC1 (рис. P.1.1) правильный, так как он подобен данному треугольнику ABC. Точки B, О, О1 и D лежат на одной прямой. Чтобы найти АО1, нужно вычислить O1D. Но O1D = O1D1 − DD1. Отрезок O1D1 равен трети отрезка ВD1, как радиус окружности, вписанной в правильный треугольник А1BC1. Таким образом, O1D1 = /3 . Отрезок DD1 мы найдем, если рассмотрим треугольник ABC, как вписанный в окружность с центром О:
DD1 = /2.
Отсюда O1D = /3 − /2 = /6 . Так как АD = ½ AC = /2, то