Альберт Рывкин - Сборник задач по математике с решениями для поступающих в вузы стр 60.

Шрифт
Фон

К главе 19

19.1. Свести задачу к сравнению (/n) и числа 2.

19.2. Нужно использовать условие, в силу которого ар, aq, аr и asобразуют геометрическую прогрессию. Это удобнее сделать так: a²q = араrи т. п. (!!)

Остается выразить pq, qr и rs через ар, aq, аr и as и убедиться, что (pq)(rs) = (qr)².

19.3. При составлении разностей аb, bс и са удобнее пользоваться представлением чисел a, b и с с помощью арифметической прогрессии.

19.4. Воспользоваться тем, что logx/a = logx/b (числа a, b, с образуют геометрическую прогрессию).

19.5. Вынести за скобки /9.

19.6. Под знаком квадратного корня стоит полный квадрат /9(10 − 2 · 10 + 1).

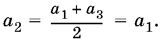
19.7. После исключения получим уравнение относительно а1 и а3, из которого следует, что а1 = а3.

Так как а1 = а3, то Сборник задач по математике с решениями... Рассмотрите систему: а1 = а2, а2 = а3.

19.9. Теорема Виета, записанная для данного уравнения, приведет к системе уравнений относительно x1 и q (уравнение, в которое входит а, можно не рассматривать). Удобнее найти сначала q.

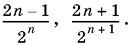
19.10. Записать произведение n первых членов и воспользоваться тем, что а1 = √2.

19.11. Если цифру сотен обозначить через а, а разность прогрессии - через d, то число делится на 5, когда либо а + 2d = 0, либо а + 2d = 5; оно же делится на 9, если а + (а + d) + (а + 2d) делится на 9. Остается воспользоваться тем, что а, а + d и а + 2d - цифры.

19.13. B задаче спрашивается, сколько комбайнов было в колхозе. Эту величину мы обозначим через n. Условия задачи позволяют составить три уравнения. При этом левая часть уравнения, соответствующего работе по плану, представляет собой сумму членов арифметической прогрессии. (!!)

При решении системы уравнений нужно исключить x и y.

19.14. При решении уравнений нужно иметь в виду, что нас интересуют только а и q.

19.15. Двух уравнений достаточно для решения задачи, так как нас интересуют не сами числа а, b и с, а отношение каких-либо двух из них. Поскольку полученные результаты использования условий задачи уравнения однородны относительно а, b и с, то определить интересующую нас величину нетрудно.

19.16. Так как предел (¼) при n → ∞ равен нулю, то аn и bn имеют общий предел.

19.17. Члены двух арифметических прогрессий, имеющих первый член, равный нулю, могут снова образовать арифметическую прогрессию в том и только в том случае, если разность одной прогрессии кратна разности другой прогрессии.

К главе 20

20.1. Воспользоваться оценкой

/(1 + k < /(1 + k)k.

20.2. Воспользоваться тем, что Сборник задач по математике с решениями...

20.4. Умножить правую часть на а − 1 и привести ее к виду Сборник задач по математике с решениями...

20.5. Разбить полученную сумму на три алгебраических слагаемых: 2n, произведение n на сумму чисел от 1 до n − 1 и сумму квадратов этих же чисел.

20.6. Бесконечная геометрическая прогрессия имеет сумму, если она бесконечно убывающая, т. е. |2x| < 1.

20.8. Рассмотреть разность SnSnx², в которой выделить геометрическую прогрессию.

20.9. Полученные равенства сложить и воспользоваться известными формулами для Sn, Sn², Sn³.

20.10. Подсчитайте число четных (нечетных) членов, стоящих до n-й группы.

20.11. Каждое слагаемое после домножения на 2 sin /2n представить в виде разности косинусов.

20.12. Нетрудно заметить, что ряд 2S отличается от ряда S на величину, которая легко может быть сосчитана.

20.13. Запишем два соседних члена ряда: Сборник задач по математике с решениями... Если первый член разделить на 2 и вычесть из второго, получим Сборник задач по математике с решениями... Это должно подсказать соответствующую процедуру с рядами. Только не забудьте предварительно обозначить искомую сумму через S.

К главе 21

21.1. Так как сосед справа и сосед слева неразличимы, то можно любого из сидящих оставить на месте, а остальных попросить пересесть на место, симметричное относительно того, кто остался на своем месте.

21.2. Обратить внимание на то, что, вычитая перестановки, в которых на первом месте стоит элемент а1, и перестановки, в которых на втором месте стоит элемент а2, мы некоторые перестановки вычтем дважды.

21.3. Поскольку в нашем распоряжении имеются семь разрядов, то выбрать места для трех двоек можно Сборник задач по математике с решениями... способами.

21.4. Число не может начинаться с цифры 0. На сколько больше чисел мы получим, если не учтем это обстоятельство?

21.5. Экскурсантов для заселения первой каюты можно выбрать Сборник задач по математике с решениями... способами, вторую каюту нужно заселить четырьмя из оставшихся и т. д.

21.6. Доказать, что Сборник задач по математике с решениями....

21.7. После упрощений мы придем к квадратному уравнению относительно n и k, которое нужно решить в целых числах. Удобнее решать это уравнение относительно k.

21.8. Все получившиеся после раскрытия скобок члены не будут подобными. Остается сосчитать их число.

21.9. Если n - 1 < k ≤ 2(n - 1), то члены, содержащие x, могут быть получены лишь в результате перемножения членов суммы x + ... + ... + x.

21.10. Мы приходим к неравенству Сборник задач по математике с решениями..., решить которое можно, придавая различные значения параметру k. B качестве таких значений удобно выбрать номера двух членов разложения, стоящих рядом с десятым членом.

21.11. Наиболее удобной является группировка

Ваша оценка очень важна

0
Шрифт
Фон

Помогите Вашим друзьям узнать о библиотеке