
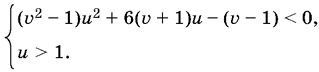
Проекция множества решений этой системы рассматривается на прямую u = 2. Левую часть первого из неравенств рассмотрите как функцию второго порядка относительно u, где зависящие от v коэффициенты - параметры. Тогда можно сформулировать условия существования решений в зависимости от значений v. (Куда направлены ветви параболы и каков знак дискриминанта.) (!!)
Придется рассмотреть существование решений первого неравенства при u > 1 для разных случаев относительно коэффициента при u² функции f(u), т. е. v² − 1 > 0; v² − 1 = 0; v² − 1 < 0.
17.10. Если а - целое, то дискриминант данного уравнения есть квадрат целого числа, т. е. а² − 2а − 19 = n². Отсюда (а − 1)² − n² = 20. Левую часть нужно представить в виде произведения целых чисел.
17.11. Случаи, когда y = 0 нужно рассмотреть отдельно. Определить соответствующие а и для каждого из них решить исходное уравнение. До этого выводов о числе корней исходного уравнения делать не следует.
17.12. Исходное уравнение при y = sin 4x преобразуется к виду
(а + 3)y² + (2а − 1)y + (а − 2) = 0,
где |y| ≤ 1.
Исследуйте отдельно случаи D = 0 и D > 0, для каждого из которых найдите значения а, удовлетворяющие условию, в силу которого равно восемь решений исходного уравнения (см. условие задачи) попадают на отрезок [−π, π]. (!!)
При замене переменной z = 4x получаем уравнение
(а + 3) sin² z + (2а − 1) sin z + (а − 2) = 0,
или
(а + 3)y + (2а − 1)y + (а − 2) = 0,
где y = sin z; |y| ≤ 1.
Если существует решение второго уравнения y1 ∈ (−1, 1), т. е. y1 лежит внутри интервала (−1, 1), то этому y1 соответствуют ровно два значения z ∈ (−π, π) и ровно восемь значений x ∈ (−π, π). (Для z период синуса равен 2π, а для x = /4 период синуса уменьшится в 4 раза и будет равен /2, т. е. внутри каждого интервала длиной /2 мы получим два решения для x, а внутри интервала (−π, π) таких решений будет восемь.)
17.13. Если (x, y) - фиксированная точка плоскости и через эту точку проходит кривая семейства, то должно существовать, по крайней мере одно соответствующее ей значение параметра а. Рассмотрев уравнение семейства кривых как уравнение относительно а, мы и получим соответствующие ограничения.
К главе 18
18.1. Этих трех уравнений достаточно; чтобы ответить на вопрос задачи, нужно из первого уравнения вычесть поочередно второе и третье.
18.2. Найти минимум P.
18.3. Так как числа 20, 21 и 23 очень близки, то дальше удобно рассуждать, предполагая, что все 500 марок расклеены по 20 на один лист - тогда двух альбомов заведомо не хватит, и по 23 на один лист - тогда в двух альбомах останется не менее одного пустого листа.
18.4. Легко доказать, что x = y. B самом деле, первый и второй понтоны прошли весь путь за равное время, т. е.
![]()
откуда
![]()
Так как v ≠ 0 и u ≠ 0, то x = y.
18.5. При решении уравнений нужно помнить, что x и y - цифры, а потому число их возможных вариаций ограничено.
18.6. Цена второй части бриллианта l(p − x)². Остается сравнить цену двух частей с ценой целого бриллианта.
18.7. Удобнее ввести в рассмотрение нормы расхода горючего, отнесенные к часу работы двигателя, так как нормы расхода на километр пути в стоячей воде пришлось бы пересчитывать на нормы для движения против течения.
18.8. Решать систему уравнений нужно методом исключения. При этом последнее уравнение будет содержать два неизвестных, одним из которых должно быть s. Использовать условие y > s и решить это уравнение в натуральных числах.
18.9. Путь отрезок AC вниз по течению пароход проходит за (40 − /2) ч, а тот же путь вверх по течению - за (48 − /2) ч. Это позволяет найти скорость течения.
18.10. B качестве неизвестных удобно выбрать скорости пловцов и расстояние AC.
18.11. Если раствор занимал первоначально x-ю часть сосуда, то чистой кислоты в нем было /100, а долили (1 − x)/100 чистой кислоты. Концентрация полученного таким образом раствора равна
p1 = px + (1 − x)q.
Мы получили рекуррентную формулу для рk - концентрации после k циклов. Остается выразить рk через p.
18.12. Чтобы вычислить расстояние между пунктами первой и второй встречи, нужно сначала определить время между этими двумя встречами, т. е. разделить длину отрезка между пунктом первой встречи и пунктом B на сумму скоростей. Полученное выражение нужно умножить на скорость автомобиля. B результате получим уравнение
![]()
Два уравнения, в которых используются оставшиеся условия задачи, составить нетрудно. Одно из них будет линейным, а другое - уравнением второй степени.
Решение системы трех уравнений рациональнее начать с решения относительно /y полученного выше уравнения.
18.13. Стоимость автобусного билета А может быть использована только для того, чтобы определить расстояние до встречи с поездом, которое пассажиру пришлось бы проехать на такси. Эта поездка обошлась бы ему в (А + ax − B) p. и пройденное машиной расстояние составило бы ![]()
Условие задачи позволяет составить три уравнения, приравнивая различные выражения для одинаковых отрезков времени: а) время, которое заняла поездка сначала на такси, а затем на автобусе, равно времени, за которое поезд прошел тот же путь за вычетом t; б) если бы пассажир догонял поезд на такси, то догнал бы его на расстоянии x + /a км; в) остается использовать разность времен, которые входят в а) и б), и приравнять ее τ.
18.14. Условия задачи позволяют составить два уравнения, которые получатся в результате сравнения времени, за которое каждый поезд проходит весь путь без остановки, с временем, за которое поезд проходит этот же путь с остановкой и последующим увеличением скорости. (!!)
Прежде чем решать полученную систему двух уравнений с двумя неизвестными, нужно выразить через введенные неизвестные и ту величину, которая нас интересует.
18.15. Для решения задачи нам понадобятся два уравнения, которые мы получим, приравнивая промежутки времени до первой и второй встреч. Тот факт, что самолет вернулся в А, а вертолет прилетел в B, мы используем после того, как определим их скорости. Это позволит нам вычислить нужные отрезки времени для ответа на вопрос задачи.
18.16. Составить два уравнения относительно x и y нетрудно. Достаточно записать, чему равно время на путь от M до N и на путь от N до M, и вспомнить, что обе эти величины известны.
18.17. Данные в условии ограничения записать в виде системы неравенств и решить эту систему.
18.18. После того как заказчик выяснил, что выгоднее всего заказывать комплекты по 40 деталей, а наименее выгодны комплекты по 70 деталей, он должен позаботиться о том, чтобы общая сумма деталей равнялась 1100. При этом он будет стремиться заказать как можно больше дешевых комплектов и как можно меньше самых дорогих.