![]()
является одновременно арифметической и геометрической прогрессией?
19.8. Пусть х1 и х2 - корни уравнения x² − 3х + А = 0, а х3 и х4 - корни уравнения x² − 12х + В = 0. Известно, что последовательность х1, х2, х3, x4 является возрастающей геометрической прогрессией. Найдите А и В.
19.9. Решите уравнение
х³ − 7х² + 14х + а = 0,
зная, что его корни образуют возрастающую геометрическую прогрессию.
19.10. В бесконечно убывающей геометрической прогрессии сумма всех членов вдвое больше суммы первых n членов. Найдите произведение первых n членов, если первый член равен √2.
19.11. Найдите трехзначное число, цифры которого образуют арифметическую прогрессию и которое делится на 45.
19.12. Найдите трехзначное число по следующим условиям: его цифры образуют геометрическую прогрессию; если из него вычесть 594, то получится число, записанное теми же цифрами, но в обратном порядке; если цифры искомого числа увеличить соответственно на 1, на 2 и на 1, то получится арифметическая прогрессия.
19.13. Имеющиеся в колхозе комбайны, работая вместе, могут убрать урожай за одни сутки. Однако по плану комбайны возвращались с других полей и вступали в работу последовательно: в первый час работал лишь один комбайн, во второй - два, в третий - три и т. д. до тех пор, пока не начали работать все комбайны, после чего в течение нескольких часов перед завершением уборки урожая действовали все комбайны. Время работы по плану можно было бы сократить на 6 ч, если бы с самого начала уборки постоянно работали все комбайны, за исключением пяти. Сколько было комбайнов в колхозе?
19.14. Три брата, возрасты которых образуют геометрическую прогрессию, делят между собой некую сумму денег пропорционально своему возрасту. Если бы они это проделали через 3 года, когда самый младший окажется вдвое моложе самого старшего, то младший получил бы на 105, а средний на 15 p. больше, чем сейчас. Сколько лет каждому из братьев?
19.15. Три отличных от нуля действительных числа образуют арифметическую прогрессию, а квадраты этих чисел, взятые в том же порядке, образуют геометрическую прогрессию. Найдите всевозможные знаменатели этой геометрической прогрессии.
19.16. Даны два числа а и b. Составим последовательность а, b, a1,b1, a2, b2, ..., аn, bn, ..., каждый член которой, начиная с третьего, равен среднему арифметическому двух предшествующих. Докажите, что

и найдите предел этой последовательности.
19.17. Найдите все положительные значения а, для которых все неотрицательные значения x, удовлетворяющие уравнению
cos [(8а − 3)x] = cos [(14а + 5)x]
и расположенные в порядке возрастания, образуют арифметическую прогрессию.
Глава 20
Суммирование
При решении задач, связанных с последовательностями, приходится доказывать утверждения такого типа: "Для любого целого n ≥ p (где p - целое) справедливо..."
Доказательство этих утверждений базируется на аксиоме индукции.
Пусть для некоторого утверждения А доказаны две теоремы.
Теорема 1. Утверждение А справедливо для n = p.
Теорема 2. Из условия, что утверждение А справедливо для всех p ≤ n ≤ k, следует, что оно справедливо для n = k + 1.
Тогда в качестве аксиомы (она называется аксиомой индукции) принимают, что утверждение А справедливо для всех n ≥ p (n, p и А - целые числа).
Метод доказательства, основанный на использовании аксиомы индукции, называется методом математической индукции.
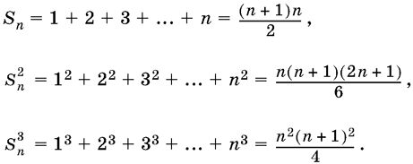
С помощью метода математической индукции можно доказать формулы

20.1. Докажите неравенство

20.2. В арифметической прогрессии а1, а2, ..., аn первый член равен разности прогрессии: а1 = d. Считая число n данным, найдите

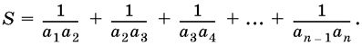
20.3. Найдите сумму
![]()
20.4. Найдите зависимость между натуральными n и А, если
![]()
где а ≠ 0, 1, −1.
20.5. Найдите коэффициент при х в разложении
(1 + x + 2х² + ... + пх)².
20.6. Решите неравенство
|x − 2х² + 4х³ − 8х + ... + (−2)х + ...| < 1.
20.7. Найдите сумму
Sn = 1 · 1! + 2 · 2! + 3 · 3! + ... + n · n!.
20.8. Найдите сумму
Sn = x + 4х³ + 7х + 10х + ... + (3n − 2)х.
20.9. Найдите сумму
Sn = 1 + 2 + 3 + ... + n,
считая известными формулы для Sn, Sn², Sn³ (см. с. 103).
20.10. Натуральные числа разбиты на группы
(1), (2, 4), (3, 5, 7), (6, 8, 10, 12), (9, 11, 13, 15, 17), ...
Найдите сумму чисел в n-й группе.
20.11. Вычислите выражение
![]()
20.12. Найдите сумму
1 + 2 · 2 + 3 · 2² + ... + 100 · 2.
20.13. Найдите сумму ряда