
откуда
x = /4 + (2т + n), у = − /4 − /2 (2т − n).
Прежде чем приступать к решению задач, ознакомьтесь с введением к главе 9.
Решите уравнения:
13.1. 1 + sin 2x + 2√2 cos 3x sin (x + /4) = 2 sin x + 2 cos 3x + cos 2x.
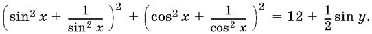
13.2.
.
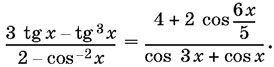
13.3.
.
13.4. tg 2x tg 7x = 1.
13.5. ![]()
13.6. 2 tg 3x − 3 tg 2x = tg² 2x tg 3x.
13.7. sin³ x + cos³ x + /√2 sin 2x sin (x + /4) = cos x + sin 3x.
13.8. 4 tg 4x − 4 tg 3x − tg 2x = tg 2x tg 3x tg 4x.
13.9. Найдите решения уравнения

лежащие в интервале (0, 2π).
13.10. Решите уравнение
sin (x − α) = sin x − sin α.
13.11. Найдите решения уравнения
|cos 2x| = |sin² x − а|
(а - действительное число), удовлетворяющие неравенству
0 ≤ x ≤ 2π.
Решите уравнения:
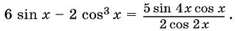
13.12. 
13.13. (tg x + sin x) + (tg x − sin x) = 2 tgx cos x.
13.14. ctg 2x + 3 tg 3x = 2 tg x + /sin 4x.
13.15. sec x² + cosec x² + sec x² cosec x² = 1.
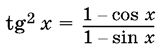
13.16. ![]()
13.17. 4 sin x + 2 cos x = 2 + 3 tg x.
13.18. cos x = cos² /4.
13.19. sin 4x[2 + ctg x + ctg (/4 − x) = 2√2(1 + sin 2x + cos 2x).
13.20. sin 4x sin x − sin 3x sin 2x = ½ cos 3x + (1 + cos x) .
13.21. sin 4x = m tg x, где m > 0.
13.22. sin /2 (sin x + sin 2x + ... + sin 100x) = ½ sin /2.
13.23. sin² x + sin 2x sin 4x + ... + sin nx sin n²x = 1.
13.24. 4 cos x − 2 cos 2x − cos 4x = 1.
13.25. ![]()
13.26. sin³ x + cos³ x = 1.
13.27. cos² 3x + ¼ cos² x = cos 3x cosx.
13.28. При каких значениях а уравнение
1 + sin² ax = cos x
имеет единственное решение?
Решите системы:
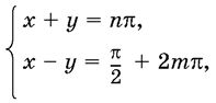
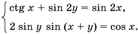
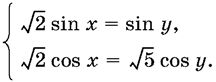
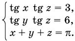
13.29. 
13.30.
13.31. 
13.32. 
13.33. 
13.34. 
13.35. 
13.36. 
13.37. 
13.38. 
13.39. Найдите все пары чисел x, у, которые удовлетворяют уравнению
tgx + tgу + 2 ctg² x ctg² у = 3 + sin² (x + у).
13.40. Решите уравнение
sin² x + ¼ sin² 3x = sin x sin² 3x.
13.41. Решите уравнение
cos x + cos у − cos (x + у) = /2.
13.42. Найдите все пары чисел а и b, при которых для любых x и у, удовлетворяющих условию x + у = а (где x ≠ /2 + nπ, у ≠ /2 + nπ, n, m = 0, ±1, ±2, ...), верно равенство tg x + tg у + tg x tg у = b.
13.43. Найдите все пары чисел x и у, которые удовлетворяют уравнению

13.44. Решите уравнение
sin x + 2 sin 2x = 3 + sin 3x.
13.45. Решите уравнение
sin x (cos /4 − 2 sin x) + cos x (1 + sin /4 − 2 cos x) = 0
13.46. Решите уравнение

13.47. Найдите все значения x, удовлетворяющие одновременно следующим уравнениям:
cos 6х + cos 8х = 0, cos Зх = 2 sin² 2х
при условии, что |x| < 5.
13.48. Решите уравнение

13.49. Решите уравнение
![]()
13.50. Решите уравнение
2 tg x + tg /2 + 4 ctg 2х = ctg Зх.
13.51. Решите уравнение
![]()