cos x = 0, x = /2 + nπ; cos x = 1, x = 2nπ; cos x = −1, x = (2n + 1)π;
tg x = 0, x = nπ; ctg x = 0, x = /2 + nπ.
При решении уравнений удобно пользоваться теоремами: уравнение cos x = cos у равносильно совокупности уравнений x + у = 2kπ, x − у = 2lπ; уравнение sin x = sin у равносильно совокупности уравнений x + у = (2k + 1)π, x − у = 2lπ. Обратите внимание на то обстоятельство, что в разных уравнениях, входящих в совокупность, вообще говоря, используют разные буквы для обозначения произвольного целого числа. Это следует из того, что уравнения для x + у и для x − у решаются независимо одно от другого. Переход от уравнения tg x = tg у к уравнению x − у = πk может привести к приобретению посторонних решений, если tg x и tg у перестают существовать.
Однородные уравнения. Уравнение вида
а0 sinx + а1 sinx cos x + ...
... + аk − 1 sin x cosx + аk cosx = 0 (1)
называется однородным, так как все слагаемые его левой части имеют одинаковую степень относительно sin x и cos x.
При α0 ≠ 0 среди решений уравнения (1) не содержится значений x, при которых cos x = 0. В самом деле, полагая cos x = 0, мы получаем из уравнения (1): а0 sinx = 0, откуда sinx = 0, так как а0 ≠ 0 по условию. Но это невозможно, поскольку нет таких значений x, при которых sin x и cos x одновременно обращаются в нуль.
Аналогично при ак ≠ 0 среди решений уравнения (1) не содержится значений x, при которых sin x = 0.
Наметим пути решения уравнения (1). Рассмотрим два случая.
Случай 1. a0 ≠ 0 и аk ≠ 0. В этом случае, разделив уравнение (1) на cosx, мы получим (поскольку cos x ≠ 0) равносильное ему алгебраическое уравнение
а0у + а1у + ... + аk − 1у + аk = 0 (2)
относительно у = tg x.
Можно также делить уравнение (1) на sinx. Тогда (поскольку sin x ≠ 0) мы получим равносильное уравнению (1) алгебраическое уравнение
а0 + а1z + ... + аk − 1z + аkz = 0 (3)
относительно z = ctg x.
Пример 1. Решить уравнение
sin³ x − 2 sin² x cos x − sin x cos² x + 2 cos³ x = 0. (4)
Разделив его на cos³ x, получим алгебраическое уравнение
у³ − 2у² − у + 2 = 0,
где у = tg x. Последнее уравнение легко решается путем разложения его левой части на множители, и мы находим корни:
у1 = −1, у2 = 1, у3 = 2.
Теперь остается решить совокупность уравнений
tg x = −1, tg x = 1, tg x = 2.
Мы получим следующие корни уравнения (1):
x = nπ ± /4 , x = nπ + arctg 2.
Случай 2. a0 = 0, или ak = 0, или а0 = ak = 0. Пусть, например, a0 = ak = 0, а a1 ≠ 0 и ak − 1 ≠ 0. Тогда уравнение (1) примет вид
a1 sinx cos x + a2 sinx cos² x + ...
... + ak − 2 sin² x cosx + ak − 1 sin x cosx = 0. (5)
В левой части уравнения выносим за скобки все, что возможно (в случае уравнения (5) мы можем вынести за скобки произведение sin x cos x). В результате получим уравнение
sin x cos x (a1 sinx + a2 sinx cos x + ...
... + ak − 2 sin x cosx + ak − 1 cosx) = 0,
распадающееся на совокупность уравнений
sin 2х = 0,
a1 sinx + a2 sinx cos x + ...
... + ak − 2 sin x cosx + ak − 1 cosx = 0,
первое из которых решается просто (см. с. 77), а пути решения второго уравнения показаны в случае 1).
Пример 2. Решить уравнение
sinx cos x − 2 sin³ x cos² x − sin² x cos³ x + 2 sin x cosx = 0.
Левую часть уравнения разлагаем на множители:
sin x cos x (sin³ x − 2 sin² x cos x − sin x cos² x + 2 cos³ x) = 0. Получаем совокупность уравнений
sin x = 0, cos x = 0,
sin³ x − 2 sin² x cos x − sin x cos² x + 2 cos³ x = 0.
Решения первых двух уравнений даны на с. 77. Третье уравнение подробно рассмотрено в примере 1.
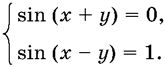
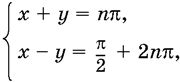
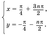
Системы тригонометрических уравнений. Предположим, что, преобразовывая систему тригонометрических уравнений, мы пришли к системе

Если переписать эту систему в виде

то, складывая и вычитая полученные уравнения, придем к выводу, что

Решили ли мы систему? Оказывается, нет. Решить систему - значит, найти все ее решения, а из поля нашего зрения выпало такое очевидное решение как x = /2, у = /4 (ни при каком целом n из выражения /4 + /2 нельзя получить /4).
В чем же ошибка? Ошибка очень проста: переходя от первоначальной системы к выражениям относительно x + у и x − у, мы должны были сохранить их "независимость", которая присутствовала в исходной системе. Вместо этого мы "связали" их введением общего целочисленного переменного n.
Правильным было бы такое решение: