Глава 12
Тригонометрические преобразования
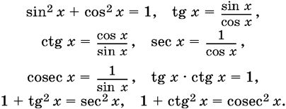
Основные тригонометрические формулы.
1. Зависимости между тригонометрическими функциями:

2. Тригонометрические функции суммы и разности аргументов:
sin (x ± у) = sin x cos у ± sin у cos x,
cos (x ± у) = cos x cos у ± sin x sin у,
![]()
![]()
3. Функции двойного и тройного аргумента:
![]()
![]()
![]()
sin 3х = 3 sin x − 4 sin³ x, cos 3х = 4 cos³ x − 3 cos x.
4. Формулы понижения степени для синуса и косинуса:
![]()
5. Функции половинного аргумента:

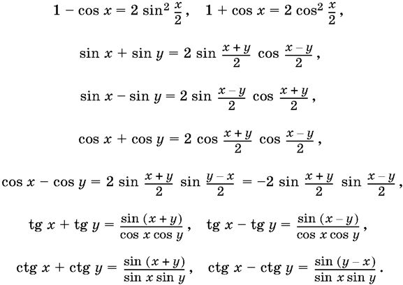
6. Преобразование суммы функций в произведение:

7. Преобразование произведения функций в сумму:
sin x cos y = ½[sin (x − y) + sin (x + y)],
cos x cos y = ½[cos (x − y) + cos (x + y)],
sin x sin y = ½[cos (x − y) − cos (x + y)].
Все формулы нужно уметь читать не только "слева направо", но и "справа налево". Так, например, в записи sin /4 cos x − cos /4 sin x нужно узнавать sin (/4 − x), а не принимать ошибочно за sin (x − /4), а в записи
узнавать ctg /2.
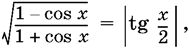
Проверьте себя и напишите, чему равно выражение
Если вы убеждены в том, что это выражение равно тангенсу половинного угла, обратите внимание на то обстоятельство, что выражение, о котором идет речь, неотрицательно, а тангенс половинного угла - знакопеременная функция. Таким образом,
![]()
и не следует писать в этом случае ±tg x. То же самое рассуждение можно провести для любой из приведенных выше формул, где перед корнем стоит ±. Мы ставим ±, чтобы "примирить" выражение, стоящее в левой части, которое может быть отрицательным, с неотрицательным корнем. Поставив ±, мы не получаем двузначную функцию; этот символ говорит лишь о том, что для каждого фиксированного x мы обязаны выбрать определенный знак, в зависимости от того, в какой четверти тригонометрического круга оказывается угол, стоящий под знаком функции в левой части формулы.
12.1. Упростите выражение

12.2. Докажите тождество
tg 2α tg (30° − α) + tg 2α tg (60° − α) + tg (60° − α) tg (30° − α) = 1.
12.3. Докажите тождество

12.4. Докажите, что tg (α + β) = 2 tg α, если
sin α cos (α + β) = sin β и α + β ≠ /2(2n + 1), α ≠ /2(2n + 1), .
12.5. Вычислите без таблиц
cos /7 cos /7 cos /7.
12.6. Вычислите без таблиц
tg /7 tg /7 tg /7.
12.7. Докажите, что если
и
то при аВ + bA ≠ 0 ![]()
12.8. Докажите, что если |sin x| = |k sin у|, где −1 ≤ k ≤ 1, то произведение sin (x + у) sin (x − у) неположительно.
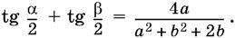
12.9. Докажите, что если sin α + sin β = а, cos α + cos β = b, то ![]()
12.10. Дано
2 tg² α tg² β tg² γ + tg² α tg² β + tg² β tg² γ + tg² γ tg² α = 1.
Вычислите sin² α + sin² β + sin² γ.
12.11. Углы α, β, γ образуют арифметическую прогрессию с разностью /3 . Вычислите
А = tg α tg β + tg β tg γ + tg α tg γ.
12.12. Сумма трех положительных чисел α, β и γ равна /2. Вычислите произведение ctg α ctg γ, если известно, что ctg α, ctg β и ctg γ образуют арифметическую прогрессию.
12.13. Вычислите без калькулятора и без таблиц
sin 106° + cos 106° ctg 8°.
Глава 13
Тригонометрические уравнения и системы
Простейшие тригонометрические уравнения.
sin x = а, x = nπ + (−1) arcsin а, |а| ≤ 1,
cos x = а, x = 2nπ ± arccos а, |а| ≤ 1,
tg x = а, x = nπ + arctg а,
ctg x = а, x = nπ + arcctg а.
Во всех формулах n - произвольное целое число, т. е. n = 0; ±1; ±2; ±3; ... .
Решения уравнения sin x = а часто удобно записывать в виде двух серий корней:
x = 2nπ + αrсsin а, x = π(2n + 1) − arcsin а.
Хотя приведенные формулы для решений уравнений sin x = а и cos x = а верны при всех значениях а, удовлетворяющих указанным справа ограничениям, при некоторых а эти формулы дают неудобный ответ.
Так, например, если к уравнению sin x = 1 применить общую формулу, то получим
x = nπ + (−1) /2.
При n = 2k получим x = 2kπ + /2, а при n = 2k + 1 получим x = 2kπ + π − /2 = 2kπ + /2. При четном и нечетном n мы пришли к одинаковому ответу. Но этот же ответ можно получить гораздо проще, если не пользоваться общей формулой. Достаточно заметить, что sin x = 1 тогда и только тогда, когда подвижный радиус вертикален и направлен вверх.
Поэтому целесообразно помнить решения уравнений:
sin x = 0, x = nπ; sin x = 1, x = /2 + 2nπ; sin x = −1, x = − /2 + 2nπ;