Упражнения
Решите неравенства:
4. (5 − 2х)(3 − x)³(x − 4)² < 0.
5.![]()
Иррациональные неравенства. Решая уравнения, мы можем получать следствия данного уравнения и закончить решение проверкой, которая отсеивает посторонние корни. При решении же неравенств обычно получаются целые интервалы решений, что сильно усложняет проверку. Поэтому неравенства преобразовывают так, чтобы не нарушалась равносильность.
Начнем с иррациональных неравенств.
Пример 4. Решить неравенство
![]()
(4)
Нередко предлагают такое "решение":
x² − 55х + 250 < (x − 14)²,
−55х + 250 < −28х + 196,
x > 2,
которое обосновывают следующим образом: "Левая часть меньше правой, но неотрицательна, так как мы имеем дело с арифметическим корнем. Следовательно, обе части данного неравенства неотрицательны, и его можно возвести в квадрат, не нарушая равносильности неравенства".
Чтобы убедиться, что неравенство решено неверно, подставим в данное неравенство, например, x = 10.
Проанализируем ход приведенных здесь рассуждений. Они доказывают, что если неравенство (4) удовлетворяется при некоторых x, то обе части его можно возвести в квадрат, и тогда x > 2. Однако отсюда не следует обратное, что исходное неравенство удовлетворяется при всех x > 2.
Присутствие в неравенстве (4) квадратного корня накладывало на неизвестное определенные ограничения, которые оказались разрушенными после возведения неравенства (4) в квадрат.
Трехчлен x² − 55х + 250 вначале стоял под знаком квадратного корня, а потому должен был быть неотрицательным. После возведения неравенства (4) в квадрат это ограничение исчезло; теперь ничто не мешает трехчлену стать отрицательным. Даже наоборот, в этом случае неравенство x² − 55х + 250 < (x − 14)² удовлетворяется наверняка, так как справа стоит величина, которая не может стать меньше нуля.
Чтобы подкоренное выражение оставалось неотрицательным, мы должны добавить к полученному после возведения в квадрат неравенству требование x² − 55x + 250 ≥ 0, т. е. x ≤ 5, x ≥ 50. Из полупрямой x > 2 оказались выделенными две ее части: 2 < x ≤ 5, x ≥ 50.
Но и теперь еще не все. Достаточно подставить в исходное неравенство значение x = 4, и мы убедимся, что оно не удовлетворяется. Дело в том, что при возведении в квадрат мы устранили еще одно ограничение, которое присутствовало в неравенстве (4). В левой части первоначального неравенства стоит квадратный корень, т. е. неотрицательное число. Чтобы это неравенство удовлетворялось, правая его часть x − 14 должна быть больше нуля. Итак, надо добавить ограничение x − 14 > 0, которое присутствовало в исходном неравенстве и оказалось разрушенным после возведения в квадрат.
Таким образом, после возведения данного неравенства в квадрат, мы должны позаботиться о сохранении всех ограничений, которые присутствуют в данном неравенстве. Неравенство (4) нужно было заменить системой

решая которую мы нашли бы, что

т. е. x ≥ 50.
Упражнения
В каждом из неравенств 6-9 освободитесь от иррациональности, не нарушая равносильности:
6.![]()
7.![]()
8. ![]()
9.![]()
Показательные и логарифмические неравенства. При решении показательных и логарифмических неравенств пользуются следующими свойствами:
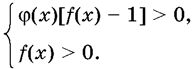
1. Неравенство f(x) > 1, где f(x) > 0, равносильно совокупности двух систем неравенств:

или системе неравенств

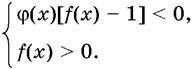
1а. Неравенство f(x) < 1, где f(x) > 0, равносильно совокупности двух систем неравенств:

или системе неравенств

2. Неравенство logf(x)φ(x) > 0 равносильно совокупности двух систем неравенств:

или системе неравенств

2а. Неравенство logf(x)φ(x) < 0 равносильно совокупности двух систем неравенств:

или системе неравенств

Решения неравенств f(x) < 1 и f(x) > 1 в предположении, что допускаются отрицательные значения f(x), разобраны в задачах 10.29, 10.30, 10.32.
Запомнить эти свойства можно следующим образом: степень больше единицы, если основание и показатель степени одинаково расположены по отношению к единице и нулю соответственно (т. е. основание правее единицы и показатель правее нуля или основание левее единицы и показатель левее нуля); логарифм больше нуля, если основание и логарифмируемое выражение одинаково расположены по отношению к единице. Если расположение элементов, о которых шла речь, неодинаково, то степень меньше единицы, а логарифм меньше нуля.
10.1. Докажите, что если а + b = 2, где а и b - действительные числа, то а + b ≥ 2.
10.2. Докажите, что
(1 + a1)(1 + а2)...(1 + аn) ≥ 2,
если а1, а2, ..., аn, аn - положительные числа и а1а2...аn = 1.
10.3. Дано а + b = с, где а, b, с - положительные числа. Докажите, что
а + b > с .
10.4. Докажите, что −x³ + x² ≤ ¼, если 0 ≤ x ≤ 1.
10.5. Докажите неравенство
![]()
при условии, что а + b + с = 1, а подкоренные выражения неотрицательны.
10.6. Докажите неравенство
(а + b) < 2(а + b),
если а > 0, b > 0, n - натуральное число.
10.7. Докажите, что при а > b > 0 и p > q где а, b и с - положительные и не равные друг другу числа, не пользуясь неравенствами между средним арифметическим и средним геометрическим трех чисел.