
при условии, что ![]()
Найдите действительные корни уравнений:
9.1. |x| − 2|x + 1| + 3|x + 2| = 0.
9.2. |x² − 9| + |x² − 4| = 5.
9.3. ![]()
9.4.![]()
9.5.![]()
9.6.![]()
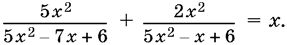
9.7.
а и b - действительные числа.
9.8.
а - действительное число.
9.9.
а - действительное число.
9.10. Найдите действительные решения уравнения
|x² − 3 · /2 − 1| = −x² − 4x + β
и определите, при каких значениях β оно имеет единственное действительное решение.
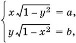
9.11. Решите систему

9.12. Найдите все действительные значения k, при которых решение системы

удовлетворяет условию: x > /k, у > 0.
9.13. В области действительных чисел решите систему

9.14. При каких значениях а система

имеет действительные решения? Найдите эти решения.
Решите системы:
9.15.
9.16. 
9.17. 
9.18. 
9.19. Числа x, у и z удовлетворяют системе уравнений

где а, b, с не равны друг другу. Найдите x³ + у³ + z³.
Решите системы:
9.20.
9.21.
9.22.
9.23.
9.24. Найдите все действительные решения системы

9.25. Найдите одно решение системы

Решите системы в области действительных чисел:
9.26. ![]()
9.27. 
9.28.
9.29.
если а > b > 0 и а + b < 1.
9.30. Найдите все значения а и b, при которых система

имеет единственное решение (а, b, x, у - действительные числа).
9.31. Найдите все значения а, при которых система

имеет хотя бы одно решение и всякое ее решение удовлетворяет уравнению x + у = 0 (а, x, у - действительные числа).
9.32. Найдите все значения а, при которых система

имеет хотя бы одно решение для любого значения b (а, b, x, у - действительные числа).
9.33. Найдите все значения а и b, при которых система уравнений

имеет единственное решение (x, у, а, b - действительные числа, x > 0).
9.34. Решите систему

в области действительных чисел.
9.35. Решите уравнение
|6 − |x − 3| − |x + 1|| − аx − 5а = 4
при всех действительных значениях параметра а.
9.36. При всех действительных а решите уравнение
![]()
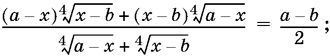
9.37. Решите уравнение
![]()
9.38. Решите систему уравнений

Глава 10
Алгебраические неравенства
О доказательстве неравенств. Доказать неравенство можно следующими способами, которые мы продемонстрируем на примере неравенства
![]()
1. От противного. Предположим противное:
![]()
Тогда
![]()
что невозможно.
2. По определению неравенства. Составим разность левой и правой частей и определим ее знак:
![]()
3. Вывести из ранее доказанного или очевидного неравенства. Мы знаем, что