![]()
В последнее уравнение входит выражение
являющееся левой частью данного уравнения. Заменяем его правой частью этого уравнения. Получим
![]()
Возведя в куб, получим
(x + 1)(3x + 1)(x − 1) = −(x + 1)³,
откуда x1 = −1, x2 = 0.
Проверка убеждает нас в том, что корень x2 = 0 является посторонним. Он появился в результате замены левой части данного уравнения на не равную ей тождественно правую часть.
Приведенные примеры свидетельствуют о том, что нахождение области определения уравнения (или, как иногда говорят, области допустимых значений - ОДЗ) не гарантирует нас от появления посторонних корней, т. е. не избавляет от необходимости делать проверку полученных в результате решения корней.
Это не означает, что находить область определения всегда бессмысленно. Можно привести много примеров, когда знание области определения существенно упрощает решение.
Что же касается проверки, то она оказывается излишней только в тех случаях, когда исследована эквивалентность применявшихся в процессе решения преобразований.
Для этого необходимо выяснить, при каких преобразованиях мы получаем следствие данного уравнения, а в каких случаях нам грозит потеря корней.
Посмотрим на примере, как исследуется равносильность двух уравнений. Имеет место следующая теорема.
Теорема 1. Если в уравнении произвести уничтожение двух подобным членов, то получится следствие данного уравнения.
Другими словами, если уравнение
f(x) + φ(x) − φ(x) = 0 (4)
заменить уравнением
f(x) = 0, (5)
то потери корней не произойдет, а приобретение корней может произойти.
Сначала докажем, что не произойдет потери корней, т. е. что любой корень x = с уравнения (4) является корнем уравнения (5). Если x = с - корень уравнения (4), то
f(с) + φ(c) − φ(c) = 0 (4′)
- истинное числовое равенство, где f(с) и φ(с) - числа. Оно не нарушится в результате прибавления и последующего вычитания числа φ(c).
Таким образом,
f(с) = 0 (5′)
- истинное числовое равенство, т. е. x = с является также и корнем уравнения (5).
Остается убедиться в том, что уравнение (5) может иметь корни, посторонние для уравнения (4). Чтобы доказать это, достаточно привести пример. Уравнение
cos x + tg x − tg x = 0 (4′′)
после уничтожения подобных членов принимает вид
cos x = 0. (5′′)
Корнями уравнения (5′′) будут числа x = /2 + kπ. Но ни одно из них не удовлетворяет уравнению (4′′), так как tg x перестает существовать, когда cos x = 0.
Итак, теорема доказана.
Несколько уравнений могут образовать систему или совокупность.
Говорят о системе уравнений, если требуется найти все решения, общие для всех уравнений, входящих в систему.
Если же нужно найти все такие решения, которые удовлетворяют хотя бы одному из нескольких уравнений, то говорят, что эти уравнения образуют совокупность.
Систему уравнений обычно записывают в столбик и ставят сбоку фигурную скобку - знак системы; совокупность уравнений, как правило, записывается в строку. Если же совокупность уравнений удобнее записать в столбик, то слева ставят квадратную скобку - знак совокупности.
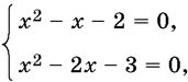
Если мы рассмотрим совокупность двух уравнений:
x² − x − 2 = 0 и x² − 2x − 3 = 0,
то корни первого: x1 = 2, x2 = −1 нужно объединить с корнями второго: x1 = 3, x2 = −1. Получим решение совокупности:
x1 = 2, x2 = −1, x3 = 3.
Если же мы рассмотрим систему

то из корней первого уравнения нужно выбрать те, которые удовлетворяют и второму уравнению системы. Получим только одно решение системы: x = −1.
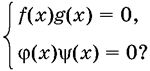
Уравнение
f(x) · φ(x) = 0 (6)
называется распадающимся.
Теорема 2. Уравнение (6) равносильно совокупности двух систем:

(7)
Доказательство. Если x = а - корень уравнения (6), то f(а) и φ(а) существуют и либо f(а) = 0, либо φ(а) = 0 (случай, когда оба сомножителя одновременно равны нулю нами из рассмотрения не исключен). Следовательно, одна из систем (7) удовлетворяется при x = а.
Пусть теперь x = а - корень совокупности (7). Если при x = а удовлетворяется либо первая, либо вторая система, то и в том и в другом случае f(x) · φ(x) = 0, т. е. x = а - корень уравнения (6).
Упражнения
Докажите следующие теоремы о равносильности уравнений.
17. Если к обеим частям уравнения
f(x) = φ(x)
прибавить выражение ψ(x), то в случае, когда ψ(x) имеет смысл при всяком x, получится равносильное уравнение, в противном случае могут быть потеряны корни.
18. Уравнения
f(x) + ψ(x) − ψ(x) = φ(x)
и
f(x) = φ(x)
в случае, когда ψ(x) имеет смысл при всяком x, равносильны; в противном случае второе уравнение является следствием первого.
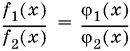
19. Если в уравнении
![]()
(8)
отбросить знаменатель, то получится уравнение
f(x) = ψ(x),
являющееся следствием данного уравнения.
19а. Уравнение (8) равносильно системе

(8а)
20. Если обе части уравнения f(x) = φ(x) возвести в квадрат, то полученное уравнение
[f(x)]² = [φ(x)]² (9)
является следствием данного уравнения. Уравнение (9) равносильно совокупности двух уравнений:
f(x) = φ(x), f(x) = −φ(x).
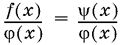
21. Чему равносильна система

22. Докажите, что следствием уравнения

является уравнение