норберт винер - Кибернетика или управление и связь в животном и машине стр 80.

Шрифт
Фон

109

Lee Y.W. // J. Math. and Physics. - 1932. - Vol. 11. - P. 261-278.

110

Wiener N. Extrapolation, Interpolation, and Smoothing of Stationary Time Series. - New York: Technology Press and Wiley, 1949.

111

Wiener N., Rosenblueth A. The Mathematical Formulation of the Problem of Conduction of Impulses in a Network of Connected Excitable Elements, Specifically in Cardiac Muscele. // Arch. Inst. Cardlol Мех. - 1946. - Vol. 16. - P. 205-265 (русский перевод: Винер Н., Розенблют А. Проведение импульсов в сердечной мышце: Математическая формулировка проблемы проведения импульсов в сети связанных возбудимых элементов, в частности в сердечной мышце. // Кибернетический сборник. - Вып. 3. - М., 1961. С. 7-86. - Ред.).

112

Гештальт (нем. Gestalt) - целостная форма, целостный образ; термин так называемой гештальтпсихологии - направления в зарубежной психологической науке, придающего особое значение целостному подходу к явлениям. - Прим. ред.

113

Имеется в виду книга: Neuman J. von, Morgenstern O. Theory of Games and Economic Behavior. - Princeton: Princeton University Press, 1943 (1st ed.; 2nd ed. - 1947). - Прим. ред.

114

Речь идет об упругом напряжении, т. е. о натяжении, измеряемом в единицах силы. - Прим. ред.

115

Неопубликованные статьи по клонусу, подготовленные в Национальном институте кардиологии в Мексике.

116

Fortune. - 1945. - № 32, October. - Р. 139-147; November. - Р. 163-169.

117

Сэмьюэл Батлер (1835-1902) - видный английский писатель-сатирик. В его фантастической сатире "Едгин, или За горами" ("Erewhon or Over the Range", 1872) рассказывается о путешествии в труднодоступную страну Едгин (анаграмма от "нигде", англ. Erewhon от "nowhere"), где "все наоборот". Едгиняне некогда обладали высокоразвитой техникой, но затем, после "антимашинистской революции", разрушили все машины и навсегда отказались от них. Переворот вызвала "Книга машин" некоего пророка, анализировавшего эволюцию машин и доказавшего неизбежность конечного порабощения ими человека. Повесть Батлера, написанная в яркой свифтовской форме, имела большой успех (на русский язык не переводилась). Продолжением ее является "Новое путешествие в Едгин" ("Erewhon Revisited", 1901), где Едгин "европеизируется". - Прим. ред.

118

Слова известного английского художника и поэта Уильяма Блейка (1757-1827), современника I промышленной революции (поэма "Иерусалим") - Прим. ред.

119

Вильгельм Гей (1790-1854) - немецкий баснописец. - Прим. ред.

120

Винер пользуется здесь немецким словом Durchmusterung. - Прим. ред.

121

Палиндром (греч.) - слово или фраза, сохраняющие свой смысл при чтении в обратном направлении ("комок", "рог гор") - Прим. ред.

122

Специально на этот случай - Прим. пер.

123

Тиха (или Тюхе) по-гречески - Случай, Ананка - Рок, образы античной мифологии. - Прим. ред.

124

По преданию, главный раввин Праги, известный талмудист Лива (или Леве) бен-Бецалел (1525-1609) сделал глиняного слугу - Голема - и оживил его кощунственным употреблением священнейшего имени бога, произношение которого у евреев было строжайше запрещено. По библейскому повествованию, под этим именем бог открылся Моисею, когда давал ему законы для Израиля. В Ветхом Завете оно обозначено четырьмя буквами JHWH и читалось позже как "Иегова" (Jehowah), подлинное же древнее произношение, как предполагают, было "Ягве" (Jahweh); в силу запрета его обычно заменяли словом "господь", как оно и переведено в русской библии. Древнееврейское слово "голем" (golem) означает "нечто бесформенное, зачаточное" и в переносном смысле - "манекен, подобие человека". Легенда о Големе сложилась, по-видимому, в пражском гетто и была использована в ряде романов и фильмов. - Прим. ред.

125

В современной механике термин "импульс" (в отличие от "импульса силы") означает то же, что и "количество движения". Наш выбор следует наметившейся традиции русской литературы по динамическим системам. В оригинале Винер употребляет традиционный английский термин "momentum". - Прим. ред.

126

Это пространство называется фазовым пространством системы: его точки изображают различные фазы, или состояния, системы. Термин "фазовое пространство" появляется у Винера несколько ниже без пояснения - Прим. ред.

127

Oxtoby J.С., Ulam S.M. Measure - Preserving Homeomorphisms and Metrical Transitivity. // Ann. of Math. - Ser. 2. - 1941. - Vol. 42. - P. 874-920.

128

Тем не менее некоторые из ранних работ Осгуда представляют важный шаг в направлении к интегралу Лебега.

129

Hopf E. Ergodentheorie. // Ergeb. Math. - 1937. - B. 5. - № 2, Springer, Berlin.

130

Известная сказка английского писателя Льюиса Кэрролла (Ч.Л. Доджсона, 1832-1898), неоднократно издававшаяся в русском переводе. - Прим. ред.

131

Читатель, не ошибись в истолковании титула! Это, конечно, фигура с игральной карты - червонная дама, если быть очень точным. Мы, однако, следуем за русским переводом сказки. - Прим-ред.

132

По имени норвежского математика Нильса Абеля (1802-1829). - Прим. ред.

133

Wiener N. The Fourier Integral and Certain of Its Applications. - Cambridge, England: the University Press; N.Y.: Dover Publications, Inc., 1933 (русский перевод: Винер Н. Интеграл Фурье и некоторые его применения. - М.: Физматгиз, 1963). - Прим. ред.

134

Haar H. Der Maßbegriff in der Theorie der Kontinuierlichen Gruppen. // Ann. of Math. - Ser. 2. - 1933. - Vol. 34. - P. 147-169.

135

См. также: Винер Н. Теория предсказания. // Современная математика для инженеров. / Под ред. Э.Ф. Беккенбаха. - М.: ИЛ, 1959. С. 185-215. - Прим. ред.

136

l.i.m. (the limit in the mean) - применяемое Винером обозначение предела в среднем (употребляется и в русском переводе его "Интеграла Фурье") - Прим. ред.

137

Идея такого существа, нарушающего второй закон термодинамики, изложена Максвеллом в 1871 г. в его "Теории теплоты" (Maxwell S.С. Theory of Heat. - London: Longmans, Green, and Co., 1871. Chap. XXII. Р. 308-309; русское издание: Максуэлль К. Теория теплоты в элементарной обработке. / Пер. с 7-го англ. издания. - Киев: Типография И.Н. Кушнерева и К, 1888. Гл. XXII. С. 288-289). - Прим. ред.

138

Вокодер - система "синтетической" телефонии, в которой по каналам связи передаются вместо натуральных речевых сигналов упрощенные командные сигналы, получаемые в результате анализа речи на передающем конце. Тем самым передача занимает меньшую полосу частот. На приемном конце речь искусственно синтезируется под управлением командных сигналов, определяющих высоту и силу тонов, ритм и т. д. - Прим. ред.

139

Здесь автор использует личное сообщение Дж. фон Неймана.

140

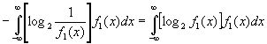
Равенство (3.04) означает, что площадь под кривой y=f1(x) равна 1. Поэтому средняя ширина этой области равна обратной величине ее средней высоты, т. е. среднего значения функции f1(x). Отсюда, по-видимому, автор заключает об указанной вольной связи между средними логарифмами и, приняв, согласно (3.03), минус средний двоичный логарифм от ширины области за меру количества информации, находит в итоге Кибернетика или управление и связь в...,

как в (3.05). - Прим. ред.

141

Деление на Кибернетика или управление и связь в... служит нормировке апостериорной плотности вероятности. - Прим. ред.

142

Paley R.E.A.C., Wiener N. Fourier Transforms in the Complex Domain / Amer. Math. Soc. - Colloquium Publications. - Vol. 19. - New York, 1934. Chapter 10 (русский перевод: Винер Н., Пэли Р. Преобразование Фурье в комплексной области. - М.: Наука, 1964. Гл. 10. - Ред.).

143

Stieltjes Т.J. Annales de la Fac. des Sc. de Toulouse. - 1894. - P. 165; Lebesgue Н. Leçons sur l'Intégration. - Paris: Gauthier-Villars et Cie, 1928 (русский перевод: Лебег А. Интегрирование и отыскание примитивных функций. - М.- Л.: ГТТИ, 1934. - Ред.)

Ваша оценка очень важна

0
Шрифт
Фон

Помогите Вашим друзьям узнать о библиотеке