
где S15(16) и старше – средняя численность бракоспособных лиц.
39. Таблицы смертности. Важнейшие показатели таблиц смертности
Таблица смертности – это упорядоченный ряд взаимосвязанных величин, показывающих уменьшение с возрастом вследствие смерти некоторой совокупности родившихся. Таблицы смертности характеризуют изменение численности условного поколения (совокупности родившихся в одном году 100 тыс. человек) при переходе от возраста к возрасту вследствие смертности.
Основная цель построения таблиц смертности – характеристика порядка дожития до определенного возраста сверстников, сокращение численности населения при переходе из одной возрастной группы в другую.
Таблицы смертности классифицируются по следующим признакам:
1) по охвату возрастных групп:
а) полные – по однолетним возрастам от 0 лет до 100 включительно;
б) краткие – для укрупненных возрастных групп;
2) по полу:
а) для мужчин;
б) для женщин;
в) совместные;
3) по территориальному признаку:
а) для страны в целом;
б) для городского или сельского населения;
в) для краев, областей, крупных городов;
4) по социальному статусу (для отдельных социальных групп);
5) по этническому признаку;
6) по методу построения.
В таблице смертности для каждого возраста x (x = 0,100) содержатся показатели :
1) число доживающих до возраста х лет, определяется по данным переписи – I Х ;
2) число умирающих в возрасте х лет, определяют по данным текущей статистики – d x ;
3) вероятность умереть в течение предстоящего года жизни для лиц, достигших возрастах лет – q x :
qx = dx / ix ;
4) вероятность дожить до следующего возраста лиц, достигших возраста x лет – p x :
px = ix+1 / ix ; qx + px = 1 ;
5) среднее число живущих в возрасте x лет – L x :
L x = i x + i x +1;
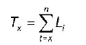
6) число человеко-лет предстоящей жизни от возраста x лет и до предельного возраста – T x :

7) средняя продолжительность предстоящей жизни (число лет, которое предстоит прожить лицам, достигшим возраста x лет) – e 0 x :
e 0 x = T x / I x .
Показатель e 0 x определяет число лет, которое предстоит прожить в среднем одному человеку из числа данного поколения родившихся или доживших до определенного возраста при условии, что на протяжении последующей жизни этого поколения повозрастная смертность будет неизменной; 8) коэффициент дожития:
P x = L x +1 / L x .
Существуют следующие методы построения таблиц смертности :
1) условный метод, использующийся, когда нет фактических данных о распределении умерших и живущих по полу и возрасту в один и тот же период;
2) прямой метод или метод реального поколения. Его суть заключается в том, что прослеживается, как фактически вымирает поколение от одного года к другому;
3) косвенный или демографический метод, при использовании которого прослеживается условное поколение.
40. Методы расчета перспективной численности населения
Существуют следующие виды демографических прогнозов :
1) аналитические – их целью является исследование тенденции воспроизводства населения путем оценки ее возможного влияния на будущую численность и состав населения. Этот прогноз выражается в виде оценки численности и половозрастного состава населения;
2) демографические – это предвидение основных параметров будущей демографической ситуации (численности и состава населения, рождаемости, смертности и др.). Такие расчеты делаются в нескольких вариантах;
3) предостережения – это перспективный расчет численности населения, его цель состоит в характеристике неблагоприятных или опасных последствий сложившейся ситуации.
В зависимости от цели прогноза и характера исходной информации применяются разные методы прогнозирования численности населения.
Метод математического моделирования предполагает использование моделей, основанных на применении математических функций (например, показательной кривой, логистической кривой и др.).
На основе экспоненциального закона роста населения можно определить рост его численности:
Нt = Н 0 х е kt ,
где H t – численность населения через t лет;
Н0 – численность населения в базисном периоде;
К - коэффициент естественного прироста в долях;
t- период прогноза.
Методы экстраполяции рядов динамики позволяют получить оценку будущей численности населения в предположении, что выявленные тенденции рождаемости, смертности, миграции сохранятся неизменными.
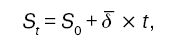
Для наиболее общих оценок будущей численности населения с помощью экстраполяции используются обобщающие показатели динамики, показатель среднего абсолютного прироста:
![]()
где δ – средний абсолютный прирост населения;
S t – прогнозируемая численность населения в году t;
S 0 – численность населения на начало прогнозируемого периода;
t – период прогноза.
Если известна численность населения на начало какого-то периода, то перспективную численность населения через t лет можно определить по формуле:

где

(Р – У) – естественный прирост населения;
(П – В) – механический прирост населения;
S – среднегодовая численность населения;
t - период прогноза.
Метод передвижки возрастов – это способ расчета на перспективу половозрастной структуры населения. Суть метода передвижки возрастов заключается в том, что численность населения возрастной группы х на момент времени t равна произведению численности населения возрастной группы (x – 1) на момент времени (t – 1) и коэффициента дожития для данной возрастной группы, показывающего, какая часть лиц в возрасте (x – 1) доживет до возраста x лет: