
где У гр – число умерших изучаемой возрастной группы; –
Sгр – среднегодовая численность населения данной возрастной группы.
37. Понятие миграции населения и ее виды. Показатели миграции населения
Миграцией называется перемещение людей (мигрантов) через границы территории с переменой места жительства навсегда или на длительный период времени.
Миграционные процессы классифицируется по ряду признаков:
1) по направлениям потоков :
а) внешняя миграция – выезд за границу (эмиграция) или въезд из-за границы (иммиграция);
б) внутренняя миграция объединяет процессы, происходящие внутри каждой страны. Выделяют внутриобластную, межобластную миграции, миг рацию сельского и городского населения;
2) по способу организации :
а) организованная – осуществляется при участии государства и общественных органов или с их помощью;
б) неорганизованная (индивидуальная) – происходит, например, по семейным обстоятельствам. Государство может частично управлять неорганизованной миграцией;
3) по времени перемещения :
а) безвозвратная ;
б) временная (на определенный срок);
в) сезонная ;
г) миграция в курортные зоны ;
4) по причинам :
а) экономическая ;
б) политическая ;
в) военная .
Процесс миграции включает три стадии:
1) потенциальную миграцию (подготовку);
2) собственно миграцию;
3) адаптацию мигрантов к условиям жизни. Миграционные процессы характеризуются с помощью абсолютных и относительных показателей миграции.
К абсолютным показателям миграции относятся:
1) П – численность прибывших в населенный пункт;
2) В – численность выбывших из населенного пункта;
3) (П + В) – валовая миграция или брутто-миграция;
4) (П – В) – чистая миграция или абсолютный миграционный (механический) прирост. Механическим движением населения называется изменение его численности только за счет миграции.
К относительным показателям миграции относятся:
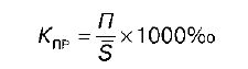
1) коэффициент прибытия :

где S – среднегодовая численность населения данной территории.
2) коэффициент выбытия :

3) коэффициент миграционного (механического) прироста :

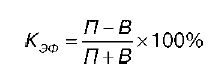
4) коэффициент эффективности миграции , характеризующий долю чистой миграции в валовой миграции:

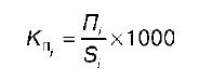
5) частные коэффициенты миграции , характеризующие интенсивность миграции отдельных групп населения (по полу, возрасту и т. д.), например:

где П i – численность населения изучаемой группы, прибывшего в населенный пункт;
S i – численность населения изучаемой группы.
38. Показатели браков и разводов
Браки и разводы являются факторами, влияющими на процесс воспроизводства населения.
Брак – это форма отношений между мужчиной и женщиной, определяющая права и обязанности по отношению друг к другу и к детям. Прекращение брака происходит по причине развода или смерти кого-либо из супругов.
Развод – это прекращение брака при жизни супругов.
Брачность – это процесс образования брачных, или супружеских, пар населения. Этот процесс включает вступление в первый и повторные браки.
Разводимость – это процесс распада супружеских пар в поколении вследствие расторжения брака.
Брачное состояние – это положение лица по отношению к институту брака, определяемое в соответствии с законодательными нормами страны. В РФ выделяют следующие категории брачного состояния :
1) состоящие в браке;
2) никогда не состоявшие в браке;
3) вдовые;
4) официально разведенные;
5) разошедшиеся.
При браке, разводе, овдовении происходит процесс перехода лица из одной категории брачного состояния в другую. Совокупность таких переходов называется процессом воспроизводства брачной структуры населения.
К показателям брачности относятся:
1) Б – абсолютное число браков, состоявшихся за некоторый период на конкретной территории;
2) средний возраст вступающих в брак;
3) доля лиц в каждом поколении, когда-либо вступавших в брак, или доля лиц, никогда не вступавших в брак;
4) доля ранних браков в общем числе зарегистрированных браков;
5) доля поздних браков (лиц старше 50 лет) в общем числе зарегистрированных браков;
6) общий коэффициент брачности, характеризующий число браков в среднем на тысячу человек:

где Б – число зарегистрированных браков;
S – среднегодовая численность населения. Этот недостаток устраняют специальные коэффициенты брачности :
1) специальный коэффициент брачности:

где S15(16) и старше – средняя численность бракоспособных лиц;
2) чистый специальный коэффициент брачности:

где SХВР 15(16) и старше – средняя численность холостых, вдовых, разведенных лиц бракоспособного возраста.
К показателям разводимости относятся:
1) R – абсолютное число разводов;
2) общий коэффициент разводимости, характеризующий число разводов в среднем на каждую тысячу человек:

где S – средняя годовая численность населения.
3) специальный коэффициент разводимости: