
Рис. 18. Примеры комбинаций
Игровые комбинации лидеров настольного тенниса
Ниже приведем пошаговый анализ техники и тактики Жанг Йининг (Китай) и Ли Джиавей (Сингапур). Жанг и Ли – женщины правши, занявшие 2 и 8 место на мировом чемпионате по настольному теннису в 2008 году.
Тактические комбинации Жанг Йининг (расположены от наиболее часто используемой комбинации к менее):
1. Подача – топ-спин слева третьим ударом.
2. Подача – топ-спин справа из центра третьим ударом.
3. Подача – топ-спин слева третьим ударом – топ-спин из центра пятым ударом.
Основные тактические схемы Ли Джиавей:
1. Подача – топ-спин слева третьим ударом.
2. Подача – быстрый топ-спин справа третьим ударом.
3. Подача – топ-спин слева третьим ударом – быстрый топ-спин справа пятым ударом.
А вот наиболее распространенные комбинации первых трех ударов, которые использует Тимо Болл (Германия). Он – левша и в январе 2008 года занимал 5 место в мировом рейтинге сразу после китайских игроков:
1. Подача коротко на центр в среднюю зону – топ-спин слева по диагонали направо (форхенд).
2. Подача коротко на центр в среднюю зону – топ-спин слева сопернику длинно под лево (бэкхенд).
3. Подача коротко направо – топ-спин слева по диагонали направо (форхенд).
Создавайте свои комбинации
Создайте свои игровые комбинации. Для этого нарисуйте модель теннисного стола, поделите его на зоны. Подойдите к процессу создания своих комбинаций творчески и, главное, применяйте их в своем тренировочном процессе.
Во время настоящей игры никто не будет вам подыгрывать, поэтому в тренировке необходимо уметь справляться с любыми мячами. Четко отрабатывайте комбинации, это повысит ваше игровое мастерство. Помните, что профессиональный рост спортсмена происходит не за счет того, что он знает тысячу разнообразных ударов, а за счет того, что он умеет делать несколько ударов, но сверхточно и сильно.
Физическая подготовка (шаг 3)
Переход из разряда любителей в профессионалы повышает требования к физической форме спортсмена. Для этого необходимо увеличение скорости и выносливости всего организма. Чтобы совершить новый, качественный скачок в росте профессионального мастерства, одними только привычными упражнениями не обойтись. К тому же, следует отметить тот факт, что организм быстро адаптируется к нагрузкам и скоростям, а это приводит к снижению темпов развития спортсмена. Чтобы идти вперед и покорять новые высоты необходимо периодически добавлять персональные нагрузки на разные группы мышц.
Для начала необходимо проверить свою физическую подготовку, чтобы определить группы мышц, которым стоит уделить пристальное внимание. Существует множество тестов на определение уровня физической подготовки спортсмена. Приведем те, которые можно легко пройти без сложного оборудования и дополнительной аппаратуры. Зная свои сильные и слабые стороны, можно составить конкретный индивидуальный план развития отстающих физических навыков. Рассмотрим тесты, которые позволяют определить выносливость, гибкость и прыгучесть, так как именно эти физические характеристики используются в настольном теннисе.
Тесты для оценки выносливости, гибкости и прыгучести
Двенадцатиминутный тест Купера
Первым тестом для определения выносливости является классический двенадцатиминутный тест американского доктора Кеннета Купера. Тест широко применяется во многих профессиональных видах спорта для определения уровня физической подготовленности и выносливости организма. Под выносливостью понимается энергопотенциал организма и способность продолжительное время выдерживать физическую нагрузку, потребляя при этом кислород.
Спортсмену необходимо за 12 минут пробежать максимально возможную дистанцию. При выполнении данного теста задействуется 2/3 мышечной массы, что позволяет максимально достоверно оценить уровень выносливости спортсмена. В таблице ниже представлена оценка выносливости в зависимости от преодоленной дистанции.
Таблица 4
Таблица Купера

Гарвардский степ-тест
Тест разработан в Гарвардском университете США (авторы Брау и Дилл) в 1942 году и позволяет определить уровень физического тонуса у спортсмена. В отличие от теста Купера акцент делается на повышенную физическую нагрузку. Гарвардский степ-тест заключается в подъемах на скамейку высотой 50 см для мужчин и 43 см для женщин в течение 5 мин в заданном темпе.
Инструкция к прохождению.
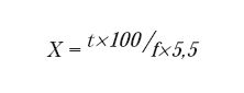
Производится ритмичное восхождение на ступеньку в течение 5 минут с частотой 30 подъемов и спусков за 1 минуту. На счет "раз" необходимо поставить на ступеньку правую ногу, на счет "два" необходимо поставить на ступеньку левую, на счет "три" – опустить правую ногу на пол, на счет "четыре" – опустить на пол левую ногу. То есть необходимо суммарно выполнить четыре движения. Получится 30 подъемов и спусков в минуту. За 5 минут теста вы должны будете подняться на платформу 150 раз. И столько же раз спуститься. После этого сесть и подождать 1 минуту, а затем измерить свой пульс за 30 секунд. Затем подставьте полученные данные в формулу степ-теста:

где:
t – время всех подъемов в секундах, сек;
f – пульс, измеренный за 30 секунд, после первой минуты покоя;
X – индекс состояния здоровья (индекс Гарвардского степ-теста).
Уровень здоровья проверяем по индексу состояния здоровья в таблице ниже.
Таблица 5
Уровень физического здоровья

Помимо силовой подготовки организма необходимо оценить гибкость и "прыгучесть" спортсмена. Следующие тесты позволят вам измерить эти физические характеристики.
Тест на гибкость
Тест на гибкость позволяет определить уровень растяжки и эластичности мышц спортсмена. Плохая гибкость создает излишнее напряжение в мышцах и не позволяет делать различные игровые элементы и удары в настольном теннисе.
Для выполнения данного теста встаньте на ступеньку, ноги выпрямите в коленях и поставьте вместе. Необходимо наклониться вниз и коснуться пальцами рук ступеньки, отметив при этом уровень касания мелом или карандашом. Расстояние между краем ступеньки и отметкой в сантиметрах отражает вашу гибкость, а именно подвижность позвоночника и тазобедренных суставов. В таблице ниже сопоставлен уровень необходимой гибкости для различного возраста. Цифры со знаком минус отражают случаи, когда не удалось коснуться края ступеньки.
Таблица 6
Оценка результатов теста на гибкость

Необходимо поддерживать уровень гибкости тела на высоком уровне не только из-за того, что это важный параметр в развитии спортсмена, а еще из-за того, что чем выше гибкость тела, тем ниже риск получить травму при выполнении резких и технически сложных элементов.
Тест на прыгучесть
Тест на "прыгучесть" в большей степени измеряет быстроту сокращения мышц человека. Встаньте к стене, поднимите руку наверх и мелом отметьте уровень вытянутой руки. После этого присядьте и, согнув ноги в коленях, постарайтесь максимально высоко подпрыгнуть. Рука при этом вытянута вверх. Отметьте мелом максимальный уровень в прыжке. Разница между первым уровнем и вторым будет отражать вашу прыгучесть. Тест показывает, какие мышцы преобладают в организме, чем больше результат, тем больше быстрых волокон, приспособленных для кратковременной взрывной нагрузки. Результаты по тесту приводятся в таблице ниже.
Таблица 7
Оценка результатов теста на прыгучесть

Тесты на определение гибкости, прыгучести и выносливости позволяют провести раннюю диагностику состояния спортсмена и создать программу для развития его выносливости, силы и гибкости, что является необходимым условием для прогрессивного развития в современном настольном теннисе.