
Рис. 0.8. Определение фазового сдвига с помощью функции Cursor в программе Probe
Отметим, что окна View, Output и View Simulation Status могут включаться и выключаться. Удалим табло курсора (которое также может включаться и выключаться) и выберем Plot, Add Plot. При этом поверх первого окна появится второе окно для новой кривой. Оно будет пустым до тех пор, пока вы не определите, какой из графиков должен появиться. Отметим, что окно Add Trace представляет список величин, для которых могут быть построены графики. Щелкните мышью в поле I(R1) и этот ток появится на графике. Наберите "," (запятую) и выберите I(C) - появится график этого тока, снова наберите "," (запятую) и выберите I(L) для третьей кривой. Щелкните мышкой на OK и в верхнем окне появятся три кривые.
Используйте команды Plot, Axis Setting, чтобы изменить пределы по осям Y.
Выберите маркер User defined, затем введите значения от 0 А до 3.0 А, чтобы изменить значения диапазона, и нажмите OK. Затем разметьте кривые, как показано на рис. 0.9, чтобы пояснить распечатку. Отметим, что амплитуда общего тока меньше амплитуды тока в индуктивной ветви. В то же время она меньше и амплитуды тока в емкостной ветви.

Рис. 0.9. Разметка кривых в выходном файле программы Probe
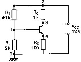
Анализ транзисторных схем
Следующая предварительная схема представляет собой усилитель на биполярном транзисторе (BJT) с типовой схемой смещения на двух резисторах. Эта схема представлена на рис. 0.10. PSpice допускает использование встроенных моделей для биполярных транзисторов и других приборов. Допустим, что транзистор имеет коэффициент усиления для большого сигнала hFE= 80 и что при типовых условиях смещения VBE=0,8 В.

Рис. 0.10. Цепи смещения для биполярного транзистора
Прежде чем перейти к моделированию на PSpice, определим смещающие токи и напряжения обычными методами. Если в процессе предшествующего обучения вы познакомились с этими методами, вы поймете следующее краткое описание. При открытии транзистора по базовой цепи напряжение эквивалентного генератора VTh (по теореме Тевенина) можно найти, пользуясь выражением для делителя напряжения:
![]()
Чтобы найти сопротивление эквивалентного генератора (по теореме Тевенина), закоротим источник напряжения Vcc, при этом резисторы R1 и R2 окажутся включенными параллельно. Сопротивление равно
RTh = R1∥R2 = 40∥5 = 4,444 кОм.
Применяя второй закон Кирхгофа к контуру, содержащему RTh и RE, получим
VTh = RThIB + VBE + RE(hFE + 1);
1,333В = (4,444 кОм)IB + 0,8В + 100 Ом (80+1).
Решая последнее уравнение относительно IВ, получим
IВ = 42,5мкА.
Поскольку IC = hFEIВ, коллекторный ток равен 3,4 мА. Эмиттерный ток равен сумме коллекторного и базового токов и составляет 3,44 мА. Воспользуемся полученными значениями токов, чтобы рассчитать потенциалы узлов 3, 4 и, наконец, узла 1.
Напряжение на коллекторе равно:
V3 = Vcc + RcIc = 12 – (1 кОм)(3,4 мА) = 8,6В.
Напряжение на эмиттере:
V4 = REIE = (100 Ом)(3,4 мА) = 0,344В.
Напряжение на базе:
V1 = VBE + V4 = 0,8 + 0,344 = 1,144В.
Хотя решение было несложным, оно все же заняло некоторое время. Если изменить параметры цепи, решение должно быть получено снова. С помощью PSpice получать повторные решения намного проще.
BJT Biasing Circuit
VCC 2 0 12V
R1 2 1 40k
R2 1 0 5k
RC 2 3 1k
RE 4 0 100
Q1 3 1 4 QN
.MODEL QN NPN(BF=80)
.dc VCC 12V 12V 12V
.OP
.OPT nopage
.PRINT dc I(R1) I(R2) I(RC) I(RE) .END
Выбранное для транзистора имя должно начинаться с буквы Q. Узлы 3, 1 и 4 - это узлы коллектора, базы и эмиттера, соответственно. Команда .MODEL содержит выбранное нами имя модели (QN - имя, выбранное для встроенной модели биполярного npn-транзистора). Запись BF=80 задает статический коэффициент усиления транзистора по постоянному току b равным 80. Результат анализа на PSpice приведен на рис. 0.11. Значения токов и напряжений соответствуют ранее вычисленным.
**** 06/13/99 14:30:18 *********** Evaluation PSpice (Nov 1998) **************
BJT Biasing Circuit
**** CIRCUIT DESCRIPTION
VCC 2 0 12V
R1 2 1 40k
R2 1 0 5k
RC 2 3 1k
RE 4 0 100
Q1 3 1 4 QN
.MODEL QN NPN(BP=80)
.dc VCC 12V 12V 12V .OP
.OPT nopage
.PRINT dc I(R1) I(R2) I(RC) I(RE)
.END
**** BJT MODEL PARAMETERS
QN
NPN
IS 100.000000E-18
BF 80
NF 1
BR 1
NR 1
CN 2.42
D .87
**** DC TRANSFER CURVES TEMPERATURE = 27.000 DEG С
VCC I(R1) I(R2) I(RC) I(RE)
1.200E+01 2.713E-04 2.293E-04 3.366E-03 3.408E-03
**** SHALL SIGNAL BIAS SOLUTION TEMPERATURE = 27.000 DEG С
NODE VOLTAGE NODE VOLTAGE NODE VOLTAGE NODE VOLTAGE
( 1) 1.1464 ( 2) 12.0000 ( 3) 8.6345 ( 4) .3408
VOLTAGE SOURCE CURRENTS
NAME CURRENT
VCC -3.637E-03
TOTAL POWER DISSIPATION 4.36E-02 WATTS
**** OPERATING POINT INFORMATION TEMPERATURE = 27.000 DEG С
**** BIPOLAR JUNCTION TRANSISTORS
NAME Q1
MODEL QN
IB 4.21E-05
IС 3.37E-03
VBE 8.06E-01
VBC -7.49E+00
VCE 8.29E+00
BETADC 8.00E+01
GM 1.30E-01
RPI 6.15E+02
RX 0.00E+00
RO 1.00E+12
CBE 0.00E+00
CBC 0.00E+00
CJS 0.00E+00
BETAAC 8.00E+01
CBX/CBX2 0.00E+00
FT/FT2 2.07E+18
Рис. 0.11. Выходной файл для схемы рис. 0.10