В главе 3 эта схема исследована более детально для использования биполярного транзистора в усилителе с общим эмиттером. Среди прочих параметров будут найдены коэффициенты усиления по току и напряжению, а также входное и выходное сопротивления каскада.
1. Анализ цепей на постоянном токе
Цепи постоянного тока важны не только сами по себе, но и потому, что многие приемы, применяемые при их анализе, используются и при анализе цепей переменного тока. В действительности анализ большинства электронных цепей и приборов может быть проведен одними и теми же методами.
Вводный пример
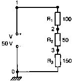
Наиболее важным свойством последовательной цепи из трех резисторов, подсоединенных к источнику постоянного напряжения (рис. 1.1), является то, что через все ее элементы течет один и тот же ток.

Рис. 1.1. Последовательная цепь с тремя резисторами
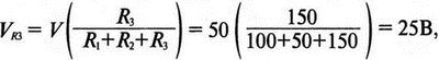
Другое важное ее свойство заключается в том, что приложенное напряжение (50 В) делится между резисторами прямо пропорционально их сопротивлению. Например, падение напряжения на резисторе в 150 Ом втрое больше падения напряжения на резисторе сопротивлением 50 Ом. Применяя концепцию деления напряжения, легко найти падение напряжения на каждом элементе, даже не зная тока в цепи. Так, напряжение на R3 равно:

а падение напряжения на R2:

Ток также просто находится с помощью любого из следующих уравнений:

Использование Spice для исследования схем
Вход в PSpice начинается с команд File, New, Text File. Анализ схемы можно провести с помощью представленного ниже входного файла:
Spice Analysis of Series Circuit
Vs 1 0 50V
R1 1 2 100
R2 2 3 50
R3 3 0 150
.OP
.END
Напомним, что после того как набрана последняя команда (.END), Enter лучше не нажимать. После ввода всех строк файла используйте набор команд File, Save и введите имя файла, например Probe1.cir. Как было отмечено ранее, лучше всего хранить все входные файлы в папке SPICE, используя правильный путь к папке, который будет выглядеть, например, c:/SPICE. Окно Save as type должно показывать "Circuit Files (*.cir)".
Закройте файл, используя команды File, Close и снова откройте его с помощью команд File, Open. Теперь Вы готовы к проведению моделирования с помощью команд Simulation, Run prob1. Перед тем как это сделать, вы можете использовать команду View и проверить "Output Window" и "Simulation Status Window". После завершения моделирования экран должен выглядеть так, как показано на рис 1.2. Отметим, что на дисплей должно быть выведено в нижнем левом окне окончательное состояние и сообщение об окончании моделирования: "Simulation complete".

Рис. 1.2. Экран PSpice после завершения моделирования
Вы можете увидеть результаты моделирования с помощью команд View, Output File. При этом экран покажет не только результаты моделирования, но и отметит некорректные команды во входном файле при их наличии. Мы рекомендуем вам не распечатывать выходной файл в той форме, в какой он представлен в PSpice, поскольку он содержит лишние пустые строки. Вместо этого, используя команды File и Close, закройте выходной файл, сверните окно PSpice и воспользуйтесь такими редакторами, как Microsoft Word или WordPad. Если, пользуясь этими редакторами, вы устраните пустые строки и ненужные разрывы страниц, возможно, результат можно будет распечатать на одной странице.
Просмотр выходного файла
Наиболее важные части выходного файла содержат информацию о напряжениях различных узлов:
Node Voltage Node Voltage Node Voltage
(1) 50.0000 (2) 33.3330 (3) 25.0000
Потенциал узла 1 - это напряжение V10, напряжение источника питания. Потенциал узла 2 - напряжение V20, суммарное падение напряжения на R2 и R3. Напряжение узла 3 - напряжение V30 является падением напряжения на резисторе R3.
Как мы рассчитали ранее, напряжение VR3 (равное V30) составляет 25 В, следовательно, анализ на PSpice оказался верным. Как можно теперь определить напряжение на R2? Оно равно V2–V3, и его можно вычислить как V20–V30.
V2 – V3 = 33,333 – 25,000 = 8,333 В.
Анализ на PSpice учитывает также напряжение и ток источника питания; напряжение на источнике питания V задано в исходных данных, ток через него, согласно выходному файлу, равен -1.667Е-01. Ток имеет правильное числовое значение, но почему его знак отрицателен? SPICE показывает ток, который течет от плюса к минусу внутри источника питания, а поскольку реально ток внутри источника питания течет от минуса к плюсу, то знак тока отрицателен. Проще говоря, когда ток отрицателен, он течет от плюса к минусу во внешней цепи источника питания.
Отметим, что полная рассеиваемая мощность также определяется при моделировании на PSpice и составляет 8,33 Вт. Это просто произведение тока I на напряжение V: 50×0,1667=8,33 Вт. Для схемы (рис. 1.1), которая содержит всего одну ветвь, мы получили практически исчерпывающую информацию. Для получения других величин рассмотрим следующую, несколько более сложную, схему.
Другой пример для анализа
Рассмотрим теперь Т-образную схему с источником постоянного напряжения в 50 В и нагрузочным резистором R4=150 Ом (рис. 1.3). Сопротивление нагрузочного резистора может изменяться в произвольных пределах. Можно представить себе нагрузочный резистор как выходной (то есть подключенный на выход схемы).

Рис. 1.3. Т-образная схема
Как можно найти напряжение и ток на этом резисторе или, согласно обозначениям на рис. 1.3, напряжение V3 и ток I (ток, подходящий от узла 3 к узлу 0)?
Входное сопротивление схемы находится путем сложения R2 и R4 (получим 200 Ом), включения этой цепочки параллельно R3 (200||200=100 Ом) и добавления R1 (сумма будет равна 200 Ом). Таким образом, RBX=200 Ом. Ток источника (входной ток) равен V/RBX=50/200=0,25 А (ток направлен от плюсового полюса источника V).
Падение напряжения на R1 равно IR1=0,25·100=25 В на R3 равно V–VR1=50–25=25 В.
Падение напряжения на R4 определим из выражения для делителя напряжения: