B0 = q0 × p0.
Отчетный вариант (выручка за второй день):
B1 = q1×p1.
Изменение выручки за второй день в сравнении с первым:
ΔB = B1 – B0.
3. Применяем метод элиминирования.
Элиминирование представляет собой логический прием, при помощи которого устраняется (исключается) ряд факторов и выделяется один, влияние которого требуется измерить. Это позволяет последовательно и раздельно рассмотреть каждый фактор изолированно от других.
Рассчитаем влияние факторов на изменение выручки:
влияние на выручку изменения количества проданного товара; при этом влияние изменения цен устраняется:
ΔB(q) = (q1 – q0) × p0;
влияние на выручку изменения цены единицы товара; при этом влияние изменения количества товара устраняется:
ΔB(p) = (p1 – p0) × q0.
При использовании в анализе метода элиминирования в классическом варианте возникает затруднение, состоящее в том, что сумма влияния факторов не равна величине изменения результативного показателя:
B1 – B0 ≠ ΔB(q) + ΔB(p).
Образуется так называемый "неразложенный остаток" (H). Математически его можно представить следующим образом:
H = Δq × Δp.
Изложенное выше проиллюстрируем на практическом примере.
B0 = 10 тыс. шт. × 6 руб. = 60 тыс. руб.
B1 = 12 тыс. шт. × 9 руб. = 108 тыс. руб.
___________________________________
ΔB = 108 – 60 = + 48 тыс. руб.
Расчеты влияния факторов:
1) ΔB(q) = (12–10)×6 = + 12 тыс. руб.;
2) ΔB(p) = (9–6)×10 = + 30 тыс. руб.
___________________________________
Итого: + 42 тыс. руб.
"Неразложенный остаток" составил 6 тыс. руб., или:
Δq = + 2 тыс. шт.
Δр = + 3 руб.
H = 2×3 = 6 тыс. руб.
Экономистов не устраивало наличие "неразложенного остатка", и они постоянно вели поиск новых методов факторного анализа, которые позволили бы разложить изменение результативного показателя по факторам без остатка.
В связи с этим обстоятельством появились такие методы факторного анализа, как индексный метод, метод цепных подстановок, интегральный метод, метод выявления изолированного влияния факторов и др.
Индексный метод факторного анализа
Сущность индексного метода факторного анализа состоит в следующем: во-первых, определяются индекс результативного показателя и индексы факторов; во-вторых, устанавливается схема взаимосвязи индекса результативного показателя с индексами факторов; в-третьих, составляется алгоритм расчетов влияния факторов на изменение результативного показателя.
Рассмотрим применение индексного метода факторного анализа на примере. Имеем информацию о выручке от продаж в торговой точке за два аналогичных периода времени.
Базовый вариант: B0 = q0×р0
B0 = 10 тыс. шт.×6 руб. = 60 тыс. руб.
Отчетный вариант:
B1 = q1×р B1 = 12 тыс. шт.×9 руб. = 108 тыс. руб.
_________________________________________
ΔB = B1 – B0 = 108 – 60 = + 48 тыс. руб.
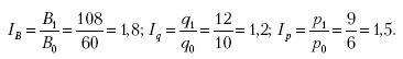
Рассчитаем индексы результативного показателя и индексы факторов:

Взаимосвязь индекса результативного показателя с индексами факторов аналогична взаимосвязи самого результативного показателя с факторами, т. е.
IB= Iq × Ip;
1,8 = 1,2 × 1,5.
Алгоритм расчетов влияния факторов индексным методом для решения двухфакторной мультипликативной модели
1) влияние на выручку изменения количества проданного товара:
ΔB(q) = (Iq – i)×B0;
2) влияние на выручку изменения цены единицы товара:
ΔB(p) = (Iq× Ip– Iq) × B0.
Проверка:
ΔB = B1 – B0 = ΔB(q) + ΔB(p).
Расчеты влияния факторов:
1) ΔB(q) = (1,2 – 1,0) × 60 тыс. руб. = + 12 тыс. руб.;
2) ΔB(p) = (1,2 × 1,5 – 1,2) × 60 тыс. руб. = + 36 тыс. руб.
________________________________________________
Проверка: ΔB = 108 – 60 = 12 + 36.
48 тыс. руб. = 48 тыс. руб.
Достоинство индексного метода состоит в том, что изменение результативного показателя раскладывается по факторам без остатка.
Вместе с тем этому методу свойствен серьезный недостаток – элемент субъективизма.
Субъективизм состоит в произвольном определении порядка расположения факторов в цепочке сомножителей.
Метод цепных подстановок
Метод цепных подстановок является производным от индексного метода факторного анализа.
Его суть состоит в следующем. Для расчета влияния факторов на изменение результативного показателя определяется условная величина (подстановка), отражающая, каков был бы результативный показатель, если бы один фактор изменился, а другие остались бы неизменными.
Если в модели число факторов – сомножителей более двух, то приходится определять несколько взаимосвязанных подстановок (цепочку подстановок). Отсюда название – метод цепных подстановок.
Алгоритм расчетов влияния факторов методом цепных подстановок
Базовый вариант: В0 = q0 × p0.
Подстановка: Bусл = q1 × p0.
ΔB(q) = Bусл – B0 = q1p0 – q0p0 = (q1 – q0) × p0 = Δq × p0.
Отчетный вариант: B1 = q1 × p1.
ΔB(p) = B1 – Bусл = q1p1 – q1p0 = (p1 – p0) × q1 = Δp × q1.
Сумма влияния двух факторов равняется изменению результативного показателя:
В1 – В0 = ΔB(q) + ΔB(р).
Расчеты влияния факторов:
1) влияние на выручку изменения количества проданного товара:
ΔB(q) = (12 – 10) тыс. шт. × 6 руб. = + 12 тыс. руб.;
2) влияние на выручку изменения цены единицы товара:
ΔB(p) = (9 – 6) тыс. шт. × 12 руб. = + 36 тыс. руб.
Проверка: ΔB = 108 – 60 = 12 + 36
48 тыс. руб. = 48 тыс. руб.
Достоинство метода цепных подстановок, как и индексного метода, состоит в том, что изменение результативного показателя раскладывается по факторам без остатка.
Вместе с тем методу цепных подстановок также присущ элемент субъективизма, который заключается в выборе порядка расположения факторов в цепочке сомножителей.
При практическом применении цепных подстановок возникли различные модификации этого метода, предназначенные для упрощения расчетов.
Такими модификациями являются: способ абсолютных отклонений, способ относительных отклонений, способ процентных разниц.