Анализ структуры продукции
Изменение структуры производства оказывает большое влияние на все экономические показатели: объем выпуска в стоимостной оценке; материалоемкость, себестоимость товарной продукции, прибыль, рентабельность.
При увеличении в общем объеме производства удельного веса более дорогой продукции объем выпуска в стоимостном выражении возрастает. И наоборот, то же происходит с размером прибыли при увеличении удельного веса и соответственном уменьшении доли низкорентабельной продукции. Анализ структуры продукции может быть представлен в форме таблицы , состоящей из таких показателей, как оптовая цена единицы продукции, объем производства продукции по плану и фактически, товарная продукция в ценах по плану, изменение товарной продукции за счет структуры. Товарную продукцию фактически при плановой структуре рассчитывают, умножая коэффициент выполнения плана по товарной продукции в целом по предприятию в натурально-условных единицах на товарную продукцию по плану.
Если доля более дорогой продукции в общем ее выпуске увеличилась, то будет наблюдаться увеличение общего объема производства в ценах .
Данный расчет производится методом цепных подстановок , который позволяет абстрагироваться от всех факторов, кроме структуры продукции.
Результат можно получить и более простым способом, умножив разность между уровнями выполнения плана по производству продукции в стоимостном и натурально-условном выражении на запланированный выпуск валовой продукции в стоимостном выражении.
Рассчитывая влияние структурного фактора на объем производства продукции в стоимостном выражении, можно использовать также способ абсолютных разниц . Для этого в первую очередь необходимо определить изменения среднего уровня цены единицы продукции за счет структуры. Умножив полученный результат на общий фактический объем производства продукции в натуральном выражении, можно узнать изменение объема товарной продукции в стоимостном выражении :

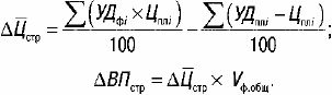
Влияние структурного фактора на объем производства продукции можно оценить и с помощью средневзвешенных цен. Средневзвешенная цена определяется в первую очередь при фактической структуре продукции, затем при плановой, и разность между ними умножается на фактический общий объем производства в условно-натуральном выражении:

Анализ качества продукции
Важным показателем деятельности любого предприятия является качество продукции. Его повышение является одной из основных форм конкурентной борьбы, завоевания и удержания: позиций на рынке.
Качество продукции – понятие, характеризующее параметрические, эксплуатационные, потребительские, технологические, дизайнерские свойства товара, уровень его стандартизации и унификации, надежность и долговечность.
Выделяют следующие показатели качества продукции :
1) обобщающие;
2) индивидуальные;
3) косвенные.
Обобщающие показатели определяют качество всей произведенной продукции, несмотря на вид и назначение продукции.
Различают следующие обобщающие показатели:
1) удельный вес новой продукции в ее общем выпуске;
2) удельный вес продукции высшей категории качества;
3) средневзвешенный балл продукции;
4) средний коэффициент сортности;
5) удельный вес аттестованной и неаттестованной продукции;
6) удельный вес сертифицированной продукции;
7) удельный вес продукции, соответствующей мировым стандартам;
8) удельный вес экспортируемой продукции.
Индивидуальные (единичные) показатели качества продукции определяют одно из таких ее свойств, как:
1) полезность (жирность молока, содержание железа в руде, содержание белка в продуктах питания и т. д.);
2) надежность (долговечность);
3) технологичность (эффективность конструкторских и технологических решений, например, трудоемкость, энергоемкость);
4) эстетичность изделий.
Косвенные показатели характеризуются как штрафы за некачественную продукцию, объем и удельный вес забракованной продукции, удельный вес зарекламированной продукции и др.
Первой и основной задачей анализа является подробное изучение динамики перечисленных показателей, строгое соблюдение за выполнением плана по их уровню, выявление причины их изменения.
Для продукции, качество которой определяется сортом или кондицией, рассчитываются доля продукции отдельного сорта (кондиции) в общем объеме производства, средний коэффициент сортности, средневзвешенная цена изделия в сопоставимых условиях. Средний коэффициент сортности можно рассчитать двумя способами: отношением количества продукции первого сорта к общему количеству; отношением цены продукции всех сортов к предполагаемой стоимости продукции первого сорта.
Второй задачей анализа является определение влияния качества продукции на стоимостные показатели деятельности предприятия (например, выпуск товарной продукции, выручку от реализации продукции, прибыль).
Анализ денежного потока в производственной деятельности
Денежные средства (нетто) можно разделить на актив и пассив. В активе – размещенные долговые обязательства, текущие счета дебиторов, денежные средства; в пассиве – учетные векселя, текущие счета кредиторов, задолженность по кредитам.
Функции структуризации денежных потоков:
1) инвестиции. Эта функция объединяет все операции по инвестициям, включая финансовые, с вычетом соответствующих отчислений на содержание инвестиций;
2) финансирование , т. е. привлечение внешних ресурсов (например, заемного капитала), а также прибыли и убытков (исключаются финансовые расходы, финансовые инвестиции и текущие проценты по финансовым долгам). Цель функции – выявление сальдо внешних ресурсов, существующих до инвестиций (однако ресурсы принимаются во внимание, если они создают потоки ликвидных средств);
3) производство. Эта функция включает в себя все операции, которые не входят в первые две функции.
На денежные потоки оказывают влияние оборотные фонды в производстве, выраженные оборотными средствами.
Для анализа денежного потока анализируют следующие (отдельные) показатели .
1. Обеспеченность собственными оборотными и приравненными к ним средствами. Этот анализ проводят для объективности оценки финансового состояния. Степень обеспеченности собственными оборотными средствами устанавливается сопоставлением суммы этих средств с установленным нормативом.
2. Нормируемые оборотные средства. К ним относятся производственные запасы, средства в незавершенном производстве и в расчетах.
Задачей такого анализа является установление правильности их использования и определение состояние запасов товарно-материальных ценностей. В процессе анализа нормируемых оборотных средств изучается их состав и структура, динамика изменения и проверка соответствия фактических остатков нормативам, а также выявляется обеспеченность отдельными конкретными видами нормируемых оборотных средств и определяются резервы.
3. К ненормируемым оборотным средствам относятся оборотные средства, находящиеся в стадии обращения: денежные средства; дебиторская задолженность за выполненные работы, оказанные услуги; товары, отгруженные организациям, включая внеплановое отвлечение оборотных средств из хозяйственного оборота.
4. Оборачиваемость оборотных средств характеризуется коэффициентом оборачиваемости, показывающим количество оборотов, совершаемых оборотными средствами за определенный период (квартал, месяц, год).
В процессе анализа показатели сравнивают с планом и показателями предыдущего года, используя данные I и II разделов актива баланса.
Анализ уровня задолженности
Уровень задолженности прямо влияет на финансовое равновесие предприятия. Уровень задолженности в балансе выражен в двух формах:
1) первая форма – это сравнение общей задолженности фирмы и ее совокупного капитала. Можно подсчитать отношение полной задолженности к совокупному капиталу;
2) вторая форма – это сравнение суммарных долгов и собственного капитала.
Две эти формы по смыслу идентичны, но первой форме чаще отдают предпочтение из-за простоты.
Общую сумму пассива можно разложить в процентном соотношении на собственный капитал, долгосрочные и среднесрочные долги, краткосрочные долги.
Если принять за уровень стабильности финансирования такой показатель:

или

или

то показатели задолженности будут выглядеть следующим образом: