Полученную в результате нашего расчета сумму следует считать основной (базовой), но не полной. Дело в том, что необходимо учитывать такие элементы лизинговых платежей, как рисковая премия; плата за предусмотренные в лизинговом договоре дополнительные услуги, оказываемые лизингодателем лизингополучателю, плата за страхование лизингового имущества – автотранспортного средства, если оно было застраховано лизинговой компанией; сумма налогов, выплачиваемых лизингодателем (а они имеют различную базу начисления). При этом нужно иметь в виду следующие обстоятельства. Рисковая премия при необходимости также может быть учтена в ставке лизингового процента, поскольку лизинговая компания, как правило, учитывает факторы риска в цене на свои услуги: больший риск сопровождается более высокими ставками лизинговых платежей. Следовательно, можно повысить или понизить величину лизингового процента в зависимости от того, как стороны договорятся между собой, и тогда в окончательную сумму всех платежей, перечисленных лизингополучателем лизинговой компании, не потребуется вводить еще одно слагаемое.
Дополнительные услуги лизингодателя могут быть непостоянными и оплачиваться неравномерно. Это зависит от объема и стоимости этих услуг и условий заключенного договора лизинга.
Плата за страхование имущества, передаваемого лизингополучателю, – величина также не постоянная, так как она начисляется на остаточную стоимость лизингового имущества и, следовательно, должна быть просто прибавлена к основной величине лизингового платежа.
При заключении договора лизинга лизингополучатель должен учитывать, что плата за кредитные ресурсы, привлекаемые лизинговой компанией, суммы страховых платежей, уплачиваемые налоги, которые вошли в состав лизинговых платежей, облагаются налогом на добавленную стоимость. Дополнительные расходы по уплате НДС будут приняты к зачету или возмещению и возвращены лизингополучателю, но определенное отвлечение оборотных средств у лизингополучателя в рамках одного отчетного периода все же может произойти.
На практике нередко возникает вопрос, когда должна начаться выплата лизинговых платежей? После того как имущество предоставлено лизингополучателю и подписан акт приема-передачи или после того как оно доведено до состояния, пригодного для использования? По договору лизинга лизингодатель обязуется приобрести в собственность указанное арендатором имущество у определенного продавца и предоставить лизингополучателю это имущество во временное владение и пользование. Следовательно, лизингополучатель должен не только получить имущество, но и иметь возможность пользоваться этим имуществом. В ст. 17 Федерального закона "О финансовой аренде (лизинге)" говорится, что лизингодатель обязан предоставить лизингополучателю имущество, являющееся предметом лизинга, в состоянии, соответствующем условиям договора лизинга и назначению данного имущества. Таким образом, для того чтобы договор лизинга заработал и появился повод для выплаты лизинговых платежей, лизингополучатель должен получить имущество в состоянии, в котором оно пригодно для использования. Это отражается в соответствующем акте ввода имущества в эксплуатацию, который подписывают поставщик (продавец), лизингодатель и лизингополучатель. Логика подсказывает, что именно с этого момента и начинается срок договора лизинга и основания для выплаты лизинговых платежей.
Следовательно, если имущество не доведено до состояния, в котором оно пригодно для использования (т. е. не сформировалась его первоначальная стоимость с учетом обстоятельств, закрепленных в ст. 257 НК РФ), то лизингополучатель не имеет возможности изготавливать на нем продукцию (оказывать услуги) и, соответственно, нет источника для формирования денежных потоков и уплаты лизинговых платежей. Амортизация может начать начисляться на имущество только после постановки этого имущества на баланс лизингодателя или лизингополучателя (как стороны договорятся). По правилам бухгалтерского учета начисление амортизации на лизинговое имущество осуществляется ежемесячно с месяца, следующего за месяцем ввода в эксплуатацию предмета лизинга.
Однако затяжка с вводом имущества в эксплуатацию может возникнуть по вине любой из трех сторон лизинговой сделки, в том числе лизингополучателя. Вот здесь и кроются риски для лизингодателя.
По-видимому, чтобы минимизировать риски лизингодателя, в п. 3 ст. 28 Федерального закона "О финансовой аренде (лизинге)" предусмотрено, что "обязательства лизингополучателя по уплате лизинговых платежей наступают с момента начала использования лизингополучателем предмета лизинга, если иное не предусмотрено договором". То есть закон не исключает возможность начинать выплату лизинговых платежей до момента доведения имущества до состояния, в котором оно пригодно для использования. Такой подход отражен и в письме Федеральной налоговой службы от 5 сентября 2005 г. № 02-1-07/81, где сказано, что: "если договаривающимися сторонами заключен договор аренды (лизинга) и подписан акт приема-передачи имущества, являющегося предметом аренды (лизинга), то из этого следует, что услуга реализуется (потребляется) сторонами договора, и, следовательно, у организаций есть основание для включения в состав налоговой базы по налогу на прибыль сумм доходов от реализации такой услуги (арендодатель, лизингодатель) и расходов в связи с потреблением услуги (арендатор, лизингополучатель)".
4.2. Модель стоимостного состава новых договоров лизинга
Модель стоимостного состава новых заключенных договоров лизинга позволяет установить системную взаимосвязь, складывающуюся между рядом показателей, которые оказывают влияние на величину нового бизнеса лизинговой компании.
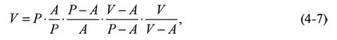
В том случае, если сумма выкупной стоимости имущества в конце срока договора финансового лизинга бесконечно мала, то стоимость новых заключенных договоров равна совокупным инвестициям лизингодателя и лизингополучателя в лизинговый проект. Модель примет следующий вид:

где V – стоимость новых заключенных договоров финансового лизинга; P – первоначальная стоимость лизингового имущества; A – аванс, уплаченный лизингополучателем лизинговой компании.
В правой части формулы (4–7) первый элемент P – основной, определяющий изучаемое нами явление. Действительно, первоначальная стоимость имущества лежит в основе всех последующих расчетов проектирования и реализации лизинговой сделки.
Второй сомножитель (А / P), рассчитываемый как отношение величины аванса, уплачиваемого лизингополучателем, к первоначальной стоимости имущества, представляет собой долю аванса в стоимости приобретаемого имущества, или авансоемкость лизинга.
Далее идет показатель (P – А) / А, который, используя терминологию финансирования, можно обозначить как леверидж пользователя лизингового имущества при приобретении его собственником в начале сделки, т. е. соотношение привлеченных и собственных средств лизингополучателя.
Следующий показатель в цепи сомножителей данной модели отражает реальное удорожание лизинга. На практике при расчете среднегодового удорожания лизинга можно порой встретиться с некоторой "забывчивостью" лизинговых компаний, которые в своих расчетах не учитывают величину авансового платежа, т. е. средств, которые им не принадлежат, и пытаются дополнительно заработать за счет лизингополучателя. Если принять во внимание аванс, внесенный лизингополучателем, профинансировавшим часть стоимости лизинговой сделки, то тогда общее реальное удорожание лизинга строится на основе пропорции (V – А) / (P – А).
Завершающий сомножитель в этой модели по своей сути представляет коэффициент текущих инвестиций по лизингу V / (V – А). Его значение больше единицы, т. е. V > V – А или равно единице, когда А = 0. То есть значение этого коэффициента стремится к единице в зависимости от сокращения величины авансового платежа и, наоборот, увеличивается по мере роста авансового платежа.
Соответственно каждый из представленных в формуле (4–7) сомножителей имеет определенный экономический смысл, и все они математически между собой взаимоувязаны.
В целом, рассматриваемая модель состоит из двух подсистем. Одна представлена первыми тремя элементами, которые отражают степень финансирования приобретения лизингового имущества лизингодателем. В другую подсистему включены показатели, которые характеризуют "наценку" на первоначальную стоимость имущества для лизингополучателя и формируют контрактную стоимость договора лизинга.
4.3. Купля-продажа лизинговых контрактов
Развитие отечественного лизингового бизнеса, усиление конкуренции на рынке лизинговых услуг, проникновение на него зарубежного капитала, а с ним и новых технологий ведения бизнеса, будут оказывать все большее влияние и воздействие на проведение в нашей стране сделок купли-продажи лизинговых контрактов, приобретение портфелей лизинговых договоров при покупке лизингодателей, слияниях и поглощениях лизинговых компаний.
Поэтому крайне важно должным образом осуществить правовое и экономическое структурирование этих сделок. Обязательно потребуется осуществление организационного, экономического, юридического due-diligence, поскольку необходимо будет сформировать комплекс договорных отношений между всеми участниками сделок.