Всего за 69.9 руб. Купить полную версию
Бюджетное финансирование – это вид финансирования инвестиций, при котором средства на осуществление инвестиционного проекта предоставляются государством из бюджетов различных уровней управления экономики. Бюджетное инвестирование позволяет государству влиять на структурную перестройку экономики, способствуя повышению эффективности народнохозяйственного комплекса, ликвидации имеющихся диспропорций в развитии отдельных отраслей и регионов и сохранению единого экономического пространства. Эффективность бюджетного инвестирования является одной из задач общей системы оценки бюджетной эффективности инвестиционного проекта.
57. Учет фактора инфляции при оценке эффективности
Инфляция является одним из факторов эффективности инвестиционных проектов.
Влияние инфляции на инвестиционную деятельность состоит в следующем: усложняется планирование; возрастает потребность в дополнительных источниках финансирования (это обусловлено ростом цен на потребляемое сырье, увеличением расходов по заработной плате и пр.); увеличиваются суммы процентов по ссудам и займам (в условиях инфляции инвесторы, пытаясь обезопасить свой капитал, предоставляют его на условиях повышенного процента); снижается роль облигаций хозяйствующих субъектов как источников долгосрочного финансирования (в условиях инфляции инвесторы отдают предпочтение краткосрочному кредитованию и требуют повышенного процента на свой капитал в случае его долгосрочного инвестирования); возникает необходимость диверсификации собственного инвестиционного портфеля (в условиях инфляции возрастает риск банкротства предприятия, ценные бумаги которого приобретены); искажается финансовая отчетность (искажение может быть как в сторону преуменьшения экономического потенциала предприятия, его финансовых возможностей, так и в сторону преувеличения).
Учет инфляции при оценке эффективности инвестиционного проекта необходим, поскольку на показатели коммерческой (финансовой) эффективности инвестиционного проекта оказывают влияние:
1) общая (однородная) инфляция (повышение общего (среднего) уровня цен в экономике, на производственные ресурсы(сырье, капитал, услуги, труд и др.) и на выпускаемую продукцию;
2) неоднократность инфляции(различная ее величина);
3) превышение уровня инфляции над ростом курса иностранной валюты.
В связи с этим для более объективной оценки инвестиционного проекта при расчетах показателей эффективности необходимо учитывать динамику общего уровня цен; цен на выпускаемую продукцию на внутреннем и внешнем рынках; цен на используемые ресурсы по группам, характеризующимся примерно одинаковой скоростью изменения цен; прямых издержек (по видам); динамику уровня заработной платы по видам категорий работающих; общих и административных издержек; стоимость элементов основных фондов: земли, зданий и сооружений, оборудования; затраты на организацию сбыта продукции; банковский процент.
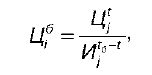
Методика учета инфляции в оценке инвестиционных проектов. При проведении практических расчетов потоки реальных денег необходимо рассчитывать в прогнозных или текущих (базисных) ценах, а показатели интегрального эффекта, чистого дисконтированного дохода, внутренней нормы доходности инвестиций, индекса доходности инвестиций – в расчетных ценах, т. е. "очищенных" от общей инфляции. Кроме того, расчетные цены необходимо привести к некоторому моменту времени, как правило, к моменту начала реализации инвестиционного проекта. В данном случае приведение цен конкретного ресурса к моменту заданных (базисных) цен этого ресурса на конец t-o периода (шага) осуществления инвестиционного проекта производится по формуле:

где Цjб- цена j-го ресурса, приведенная к начальному моменту реализации инвестиционного проекта;
Ц jt - цена j-го ресурса на f-м шаге реализации инвестиционного проекта;
И j tб-t- индекс цены на j-й ресурс за период времени от начального (базового) момента до t-гo шага реализации инвестиционного проекта. Практика показывает, что точность расчетов по учету инфляции при оценке эффективности инвестиционных проектов возрастает с увеличением количества ресурсов, по которым учитывается темп инфляции цен на них, а также с увеличением точности прогноза этого темпа.
58. Учет фактора риска и неопределенности при оценке эффективности инвестиционного проекта
Неопределенности и риск в системе факторов эффективности инвестиционной деятельности играют заметную роль. Их влияние на эффективность инвестиционного проекта состоит в том, что под влиянием неопределенности становится сложно вести расчеты эффективности, предугадывать вероятности наступления благоприятных и нежелательных событий.
В мировой практике выделяют следующие причины неопределенности: спонтанность природных процессов и явлений, стихийные бедствия; случайность; наличие противоборствующих тенденций, столкновение противоречивых интересов; вероятностный характер HTП (заранее определить конкретные последствия научных открытий практически невозможно). Существование неопределенности связано также с неполнотой, недостаточностью информации об объекте, процессе, явлении, по отношению к которому принимается решение, с ограниченностью возможностей человека в сборе и переработке информации, с постоянной изменчивостью этой информации.
На практике используются следующие методы учета неопределенности и риска при оценке инвестиционных проектов:
1) анализ чувствительности. Данный метод позволяет оценить, насколько сильно изменится эффективность инвестиционного проекта при изменении условий его осуществления или определенном изменении одного из исходных параметров. Чем заметнее эта зависимость, тем выше риск реализации планируемого проекта. Сравнивая между собой несколько вариантов проекта, можно оценить чувствительность каждого из них к изменению различных факторов (например, цен, объема продаж, налогов, проектных ставок за кредит и т. п.). Выбор делает в пользу того проекта, который является наименее чувствительным;
2) проверка устойчивости. Данный метод по форме напоминает анализ чувствительности. Однако его главная цель состоит в том, чтобы предвидеть ход развития событий в процессе реализации инвестиционного проекта, которые могут произойти во внешнем окружении и внутренней среде предприятия. Суть метода заключается в разработке т. н. сценариев развития событий в базовом и наиболее опасных вариантах реализации проекта. По каждому сценарию рассматривается, как будет действовать организационно-экономический механизм реализации инвестиционного проекта, каковы при этом будут доходы, потери и показатели эффективности у отдельных участников реализации планируемого мероприятия. Такой подход позволяет обеспечить соблюдение интересов всех участников и устранить возможные неблагоприятные последствия, предусмотреть создание необходимых запасов и резервов или страхование риска. Достоинство данного метода состоит в возможности оценить одновременное влияние нескольких параметров на конечные результаты проекта через планирование вероятности наступления каждого сценария инвестиционного проекта; 3) корректировка параметров проекта. Возможная неопределенность условий реализации инвестиционного проекта может учитываться также методом корректировки параметров проекта. Данный подход не является самостоятельным методом. Он служит приемом, с помощью которого на основе всех вышерассмотренных методов в процессе планирования обосновывается решение. Суть метода состоит в том, что в проект, разработанный на стадии предплановой подготовки, вносятся необходимые коррективы, повышающие его достоверность.
Пути учета неопределенности в реализации инвестиционного проекта: расчет возможного увеличения сроков строительства и выполнения других работ; расчет среднего увеличения стоимости строительства вследствие ошибок проектировщиков и непредвиденных затрат; расчет сроков запаздывание платежей, штрафы за нарушение договорных обязательств.
59. Принципы формирования инвестиционной программы
Инвестиционная деятельность предприятия принимает форму инвестиционной программы. Предназначение инвестиционной программы на предприятии состоит в том, что она обозначает приоритеты инвестирования предприятия по направлениям инвестиций, по регионам, по отраслям. Инвестиционная программа предприятия должна разрабатываться на основе установленных требований, только в этом случае она будет отвечать условиям экономической эффективности деятельности предприятия в целом. Известны следующие принципы формирования инвестиционной программы.
1. Многокритериальность отбора проектов в инвестиционную программу. При соблюдении данного принципа становится возможным учет в процессе формирования инвестиционной программы всей системы целей инвестиционной стратегии предприятия, а также системы задач инвестиционной деятельности, поставленных как ответ на изменения внешних и внутренних факторов ее осуществления. Данный принцип основан на предварительном ранжировании целей (задач) инвестиционной деятельности по их значению.
2. Дифференциация критериев отбора по видам инвестиционных проектов. Для повышения эффективности инвестиционной программы в целом необходимо дифференцировать подбор критериев в разрезе конкретных форм реального инвестирования по независимым, взаимосвязанным и взаимоисключающим инвестиционным проектам.