КИЗН + КГОДН = 100 %.
К показателям движения основных фондов относятся коэффициент обновления и коэффициент выбытия основных фондов.
Коэффициент обновления основных фондов характеризует долю новых основных фондов в их общем объеме и исчисляется как отношение стоимости введенных в действие новых основных фондов за год к полной балансовой стоимости основных фондов на конец года:характеризует долю выбывших основных фондов в течение года в общей их стоимости. Он рассчитывается как отношение полной стоимости выбывших основных фондов к полной балансовой стоимости основных фондов на начало года:

Коэффициент выбытия основных фондов:

К показателям использования основных фондов относятся показатели фондоотдачи и фондоемкости.
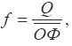
Показатель фондоотдачи характеризует выпуск продукции в расчете на один рубль стоимости основных фондов и рассчитывается как отношение годового объема выпуска продукции к среднегодовой стоимости основных фондов:

где Q – объем произведенной продукции в денежном измерении;
?ОФ – среднегодовая стоимость основных фондов.
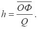
Показатель фондоемкости характеризует уровень затрат основных производственных фондов на один рубль произведенной продукции. Он рассчитывается как отношение среднегодовой стоимости основных фондов к объему произведенной за год продукции:

Чем ниже значение показателя фондоемкости, тем эффективнее используются основные фонды.
Показатели фондоемкости и фондоотдачи являются обратными величинами:

Для анализа динамики фондоотдачи и фондоемкости используется индексный метод. Например, анализ динамики фондоотдачи по группе предприятий характеризуется с помощью индексов переменного состава, постоянного состава и индекса влияния структурных сдвигов. С помощью этих индексов можно оценить влияние на показатель фондоотдачи двух факторов:
1) изменения эффективности использования основных фондов на отдельных предприятиях, т. е. изменения индивидуальных уровней фондоотдачи;
2) структурных изменений в составе основных фондов, т. е. изменения доли предприятий с разным уровнем фондоотдачи в объеме основных фондов.
Вопрос 42. Статистика оборудования
В составе основных производственных фондов особо важное место принадлежит машинам и оборудованию как активной части основных фондов, непосредственно связанной с воздействием на предметы труда и производством продукции.
В задачи статистики оборудования входит анализ наличия, состава, состояния и использования двух групп оборудования – производственного и энергетического.
Производственным оборудованием называются орудия труда, которые используются для непосредственного воздействия на предмет труда в процессе производства продукции. При изучении производственного оборудования большое значение имеют группировки оборудования по производственному и технологическому назначению, по методу воздействия на предмет труда, по степени автоматизации и другим признакам.
Энергетическим оборудованием называются орудия труда, которые используются при производстве различных видов энергии и преобразовании одного вида энергии в другой.
Численность наличного оборудования учитывается по состоянию на определенную дату и в среднем за период. Также при учете оборудования используются показатели мощности.
Мощность – это способность оборудования производить определенную работу в единицу времени.
Мощность производственного оборудования может характеризоваться различными показателями, например количеством производимой продукции в единицу времени, количеством перерабатываемого сырья в единицу времени и др.
Под мощностью энергетического оборудования понимается количество энергии, производимой или потребляемой в единицу времени.
Для анализа эффективности использования оборудования используется система статистических показателей, в которую входят показатели использования оборудования по численности, времени, мощности и объему работы.
К показателям использования оборудования по численности относятся:
1) доля работавшего оборудования в общей численности наличного оборудования;
2) доля работавшего оборудования в общей численности установленного оборудования.
К показателям использования оборудования по времени работы относятся:
1) коэффициент сменности, характеризующий количество смен, которые в среднем работала каждая единица оборудования в течение суток:

2) коэффициент экстенсивной нагрузки оборудования, который рассчитывается как отношение времени, фактически отработанного оборудованием, к одному из фондов времени (календарному, режимному или плановому).
К третьей группе относятся показатели использования оборудования по мощности, или коэффициенты интенсивной нагрузки оборудования:

где ?М – средняя фактическая мощность оборудования;
Ммах – потенциальная мощность оборудования.
Коэффициенты интегральной нагрузки характеризуют использование оборудования по объему работ. Они рассчитываются как отношение фактически выполненного объема работ к максимально возможному объему работы за этот период.
Обобщающим показателем производственного потенциала предприятия является показатель производственной мощности, т. е. максимально возможного объема годового выпуска продукции или переработанного сырья при полном использовании производственного оборудования в условиях установленной номенклатуры продукции и режима работы предприятия:

Вопрос 43. Статистика материальных оборотных средств
Материальные оборотные средства как элемент национального богатства в соответствии с международными стандартами охватывают:
1) все товары и услуги, созданные в текущем или предшествующих периодах и хранимые производителями для использования в собственном производстве, иного использования или последующей продажи;
2) товары, приобретенные хозяйственными единицами с целью их перепродажи без предварительной обработки;
3) государственные материальные резервы.
В отличие от основных фондов, которые участвуют в нескольких производственных циклах и используются более одного года, материальные оборотные средства находятся в текущем хозяйственном обороте и целиком потребляются в течение одного производственного цикла.
В составе материальных оборотных средств выделяют следующие типы экономических активов:
1) сырье и материалы – совокупность материально-вещественных ценностей, которые их владельцы намерены использовать в качестве предметов труда в собственном процессе производства (сырье, основные и вспомогательные материалы, топливо, покупные полуфабрикаты и комплектующие изделия, запасные части, тара и т. д.). Данные товары в процессе производственного использования изменяют свою натурально-вещественную форму и полностью переносят свою стоимость на изготовленный продукт;
2) незавершенная продукция – это продукция (работы, услуги), не прошедшая полный технологический цикл в пределах предприятий и, как правило, не предназначенная для передачи другим хозяйственным единицам без дальнейшей обработки;
3) готовая продукция – это совокупность приобретенных товаров, хранящихся у производителей до отправки их потребителям или торговым посредникам;
4) товары для перепродажи – это совокупность приобретенных товаров, хранящихся на предприятии с целью их последующей перепродажи без обработки;
5) государственные материальные резервы – запасы зерна, стратегических материалов и других товаров, имеющих особое значение для страны.
Наличие материальных оборотных средств, находящегося в распоряжении у фирмы, рассчитывается по формуле среднего остатка оборотных средств на конец месяца: