Вопрос 39. Амортизация основных фондов
Основные производственные фонды средства в процессе эксплуатации подвергаются физическому и моральному износу, постепенно перенося свою стоимость на производимую продукцию.
Физическим износом называется утрата основными фондами своих физических свойств, в результате чего они не могут выполнять свои функции и приходят в негодность.
Моральный износ проявляется в том, что действующие объекты основных фондов по своей производительности, расходам на обслуживание, качеству выпускаемой продукции начинают уступать новым образцам основных фондов, т. е. становятся экономически невыгодными.
Физический и моральный износ основных фондов вызывает необходимость их замены. Для этого в течение срока полезного действия объектов основных фондов затраты предприятия, связанные их приобретением иди созданием, должны быть возмещены и накоплены денежные средства, достаточные для осуществления замены.
Амортизацией называется денежное выражение стоимости износа основных фондов, перенесенной на продукцию. Амортизация является составным элементом себестоимости продукции, поскольку выступает как затраты основных фондов на производство продукции.
Понятия износа и амортизации необходимо различать. По своему экономическому содержанию износ характеризует процесс старения действующих основных фондов, а амортизация является процессом переноса стоимости основных фондов на издержки производства и накопления денежных средств, необходимых для замены объектов в будущем.
Износ основных фондов определяется и учитывается практически по всем видам основных фондов, за исключением:
1) библиотечных фондов;
2) музейных и художественных ценностей;
3) зданий и сооружений, являющихся памятниками архитектуры и искусства и др.
Амортизационные отчисления не производятся:
1) по жилым зданиям (за исключением объектов жилого фонда, которые используются организацией для извлечения дохода);
2) объектам внешнего благоустройства;
3) основным фондам бюджетных организаций;
4) объектам основных фондов, полученным по договору дарения или безвозмездно в процессе приватизации;
5) продуктивному скоту.
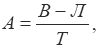
Годовая сумма амортизационных отчислений определяется по формуле:

где В – полная первоначальная стоимость основных фондов;
Л – ликвидационная стоимость основных фондов за вычетом расходов на их демонтаж;
Т – нормативный срок службы основных фондов.
Амортизация может быть начислена четырьмя различными методами:
1) линейным методом, при котором сумма амортизационных отчислений рассчитывается ан основе полной балансовой стоимости объекта и нормы амортизации, исчисленной с учетом срока его полезного использования;
2) методом уменьшаемого остатка, при котором годовая сумма амортизационных отчислений рассчитывается на основе остаточной стоимости объекта и нормы амортизации, исчисленной с учетом срока его полезного использования;
3) методом списания стоимости по сумме числе лет срока полезного использования, при котором годовая сумма амортизационных отчислений рассчитывается на основе полной балансовой стоимости объекта и коэффициента, представляющего собой отношение числа лет, остающихся до конца службы, к сумме числе лет срока его полезного использования;
4) методом списания стоимости пропорционально объему произведенной продукции или выполненных работ, при котором годовая сумма амортизационных отчислений рассчитывается на основе полной балансовой стоимости объекта и коэффициента, представляющего собой отношение объема фактически произведенной в текущем периоде продукции к предполагаемому выпуску за весь период полезного использования объекта.
Вопрос 40. Характеристика наличия основных фондов на дату и в среднегодовом исчислении. Балансы основных фондов по полной и остаточной стоимости
Балансы основных фондов используются для характеристики динамики объема основных фондов за год.
Баланс основных фондов строится по отраслям, включающим совокупность основных фондов, участвующих в производстве отраслевой продукции. К данным фондам относятся не только фонды основной деятельности предприятий и организаций той или другой отрасли, но и аналогичные по своему назначению основные фонды подсобно-вспомогательных производств и подразделений, состоящих на балансе предприятий и организаций других отраслей, если они имеют самостоятельную форму учета и выделены в отдельные учетные единицы.
При составлении балансов основных фондов основными источниками информации являются бухгалтерская и статистическая отчетность предприятий и организаций, данные выборочных обследований.
Балансы основных фондов строятся по полной балансовой стоимости и по остаточной балансовой стоимости.
Баланс основных фондов по полной балансовой стоимости отражает изменение объема основных фондов как совокупность материальных благ (без учета их физического состояния). В этом балансе содержатся следующие показатели:
1) наличие основных фондов на начало года (ПСН.Г.);
2) стоимость основных фондов, поступивших в течение года (П) за счет различных источников;
3) стоимость выбывших основных фондов в течение года (В) по всем направлениям выбытия;
4) наличие основных фондов на конец года (ПСК.Г.).
Взаимосвязь между показателями баланса характеризуется равенством вида:
ПСК.Г. = ПСН.Г. + П - В...
Баланс основных фондов по остаточной балансовой стоимости характеризует изменение фактической стоимости основных фондов в течение года с учетом их износа. В балансе отражаются следующие показатели в оценке по остаточной балансовой стоимости:
1) наличие основных фондов на начало года (ОСН.Г.);
2) стоимость основных фондов, поступивших в течение года (ПОС) за счет различных источников;
3) стоимость выбывших основных фондов в течение года (ВОС) по всем направлениям выбытия;
4) износ основных фондов, начисленный за год (И);
5) наличие основных фондов на конец года (ОСК.Г.).
Взаимосвязь между показателями баланса характеризуется равенством вида:
ОСК.Г. = ОСН.Г.+ ПОС - ВОС – И.
Источниками поступления основных фондов являются:
1) ввод в действие новых основных фондов;
2) покупка основных фондов у юридических и физических лиц;
3) безвозмездное получение основных фондов от других юридических и физических лиц;
4) аренда основных фондов.
Основными причинами выбытия основных фондов являются:
1) ликвидация из-за ветхости и износа;
2) продажа основных фондов другим юридическим и физическим лицам;
3) безвозмездная передача основных фондов;
4) передача основных фондов в долговременную аренду.
В РФ органами государственной статистики составляются балансы основных фондов текущих ценах, в среднегодовых ценах и в постоянных ценах базисного года.
Для пересчета основных фондов за ряд лет в постоянные цены используют:
1) индексы цен на фондообразующую продукцию по видам машиностроительной продукции и по отраслям машиностроения и промышленности строительных материалов;
2) индексы цен на капитальные вложения в целом, а также строительно-монтажные работы, оборудование, прочие виды работ.
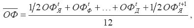
Среднегодовая величина основных фондов:

где ОФtЯ, ОФtФ, ОФtД – балансовая стоимость основных фондов соответственно на 1 января, 1 февраля и 1 декабря отчетного года;
ОФЯt+1– балансовая стоимость на 1 января года, следующего за отчетным, по данным переоценки отчетного года.
Вопрос 41. Показатели состояния, движения и использования основных фондов
На основе данных балансов основных фондов как по балансовой стоимости, так и по стоимости за вычетом износа можно рассчитать целый ряд показателей, которые характеризуют состояние и воспроизводство основных фондов.
К показателям состояния основных фондов относятся коэффициенты износа и годности. Эти коэффициенты можно рассчитать по состоянию как на начало, так и на конец года.
Коэффициент износа основных фондов на начало года рассчитывается по формуле:

По состоянию на определенную дату коэффициент износа рассчитывается как отношение суммы износа основных фондов к их полной стоимости.
Коэффициент годности основных фондов на начало года рассчитывается по формуле:

Для коэффициентов износа и годности справедливо следующее равенство: