
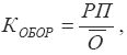
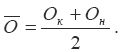
где ОН – стоимость оборотных средств на начало месяца;
ОК – стоимость оборотных средств на конец месяца.
Отличие в принципах оценки запасов материальных оборотных средств, предусмотренных рекомендациями СНС и принятых в отечественной практике учета и статистики, касается учета сырья и материалов и незавершенного производства.
На уровне предприятия все хозяйственные средства делятся на две группы по своему составу и функциональной роли в процессе производства:
1) внеоборотные активы (в том числе основные фонды, нематериальные активы и долгосрочные финансовые вложения);
2) оборотные активы.
К оборотным активам относятся:
1) запасы;
2) денежные средства;
3) дебиторская задолженность;
4) краткосрочные финансовые вложения;
5) прочие оборотные активы.
В категорию запасы включаются производственные запасы, незавершенное производство, готовая продукция и товары, т. е. те элементы, которые относятся к категории материальных оборотных средств, и расходы будущих периодов.
В составе производственных запасов выделяют следующие группы:
1) сырье, материалы, покупные полуфабрикаты;
2) топливо и горючее;
3) тара;
4) запасные части;
5) малоценные и быстроизнашивающиеся предметы со сроком службы менее одного года и стоимостью, не превышающей установленного уровня;
6) семена, корма, посадочный материал;
7) животные на откорме и молодняк животных.
Вопрос 44. Показатели статистики материальных оборотных средств
Показатель обеспеченности производственными запасами характеризует наличие материальных оборотных средств у предприятия:

Для характеристики использования материальных оборотных средств используются следующие статистические показатели:
1) коэффициент оборачиваемости:

где РП – выручка от реализации продукции за период;
?О – средний остаток материальных оборотных средств:

Данный коэффициент характеризует число оборотов оборотных средств за рассматриваемый период, т. е. он показывает сколько раз стоимость оборотных средств, равная их среднему остатку, оборачивалась и возвращалась в денежной форме в течение данного периода времени;
2) коэффициент закрепления материальных оборотных средств:

где РП – выручка от реализации продукции за период;
?О – средний остаток материальных оборотных средств.
Данный коэффициент характеризует средний остаток оборотного капитала, приходящийся на один рубль выручки от реализации в данном периоде;
3) показатель средней продолжительности одного оборота в днях – время, в течение которого совершается кругооборот средств:

где Д – число дней в периоде.
Данный показатель характеризует, сколько дней занимает один полный оборот материальных оборотных средств. Он используется для сравнения скорости обращения материальных оборотных средств за периоды различной продолжительности;
4) показатель суммы средств, высвобожденных из оборота в результате ускорения оборачиваемости материальных оборотных средств:

где РП1 – объем реализации продукции в отчетном периоде;
?О1 – средний остаток оборотных средств в отчетном периоде;
С0 – продолжительность одного оборота средств в базисном периоде, дней;
Д – принятая в расчет продолжительность периода, за который производятся вычисления, равная 30, 90 или 360 дням;
5) показатель материалоемкости продукции, который рассчитывается как отношение стоимости текущих материальных затрат без амортизации к стоимости произведенной продукции;
6) показатели расхода важнейших видов материальных ресурсов в натуральном выражении в расчете на единицу продукции;
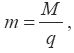
7) показатели удельного расхода конкретного вида сырья или материала в натуральном выражении в расчете на единицу продукции в натуральном выражении:

где М – общий расход сырья или материала в натуральном выражении;
q – количество произведенной продукции в натуральном выражении.
Вопрос 45. Статистика инвестиций и инвестиционной деятельности
Инвестициями называется совокупность средств, вкладываемых в объекты предпринимательской и иных видов деятельности с целью получения дохода и достижения положительного социального эффекта.
Инвестиционная деятельность – это процесс вложения средств хозяйствующими субъектами и совокупность практических действий по их реализации.
В статистике состав инвестиций анализируется по нескольким направлениям.
По видам экономических активов выделяют:
1) финансовые инвестиции – вложения в финансовые активы в виде вложений средств в банковские вклады, ценные бумаги и т. д.;
2) инвестиции в нефинансовые активы по концепции СНС – вложения в материальный и нематериальный основной капитал, на пополнение запасов материальных оборотных средств, в ценности и др.
Однако в статистической практике инвестиции в нефинансовые активы группируются по-другому. В их состав включают:
1) инвестиции в основной капитал (затраты на строительство, расширение, реконструкцию, техническое перевооружение объектов, приобретение машин и др.);
2) инвестиции в нематериальные активы;
3) инвестиции на пополнение запасов материальных оборотных средств;
4) затраты на капитальный ремонт зданий, сооружений, машин и оборудования;
5) инвестиции на приобретение земельных участков и объектов природопользования.
При изучении структуры инвестиций в основной капитал используются группировки:
1) группировка инвестиций по направления воспроизводства основных фондов;
2) группировка инвестиций источникам финансирования инвестиций;
3) группировка инвестиций технологическому назначению затрат;
4) группировка инвестиций формам собственности инвесторов и др.;
При распределении инвестиций в основной капитал по источникам финансирования в целом по экономике выделяют:
1) инвестиции, финансируемые за счет бюджетных средств, в том числе федерального бюджета, бюджетов субъектов РФ и местных бюджетов;
2) инвестиции, финансируемые за счет внебюджетных средств, в том числе за счет собственных средств предприятий и средств населения.
При группировке инвестиций по их технологическому назначению в составе инвестиций в основной капитал выделяют:
1) затраты на строительно-монтажные работы;
2) затраты на приобретение оборудования, инструмента и инвентаря;
3) прочие капитальные работы и затраты (проектно-изыскательские работы, затраты на содержание дирекции строящихся предприятий, работы по эксплуатационному и глубокому разведочному бурению на нефть, газ и на термальные воды, расходы по отводу земельных участков и переселение в связи со строительством, затраты по насаждению и выращиванию многолетних культур, затраты на формирование основного стада, расходы на подготовку эксплуатационных кадров для строящегося предприятия и другие затраты).
При группировке затрат по объектам производственного назначения выделяют инвестиции на:
1) новое строительство – строительство, которое осуществляется на новых площадках как в целях создания новых зданий, сооружений, так и взамен ликвидированных;
2) расширение действующих предприятий – процесс строительства новых цехов, объектов на территории действующих предприятий или примыкающих к ним площадках для создания дополнительных или новых производственных мощностей;
3) на техническое перевооружение действующих предприятий – затраты на комплекс мероприятий по повышению технико-экономического уровня отдельных производств, цехов и участков с помощью внедрения передовой техники и технологии, механизации и автоматизации производства, модернизации и замены устаревшего и физически изношенного оборудования новым;
4) отдельные объекты действующих предприятий.