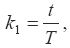
1) доля отработанного времени в рамках определенной формы или системы оплаты труда в общем количестве отработанного времени:

где t – отработанное время в рамках определенной формы или системы оплаты труда;
T – общее количество отработанного времени;
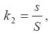
2) доля работников, получающих заработную плату по той или иной форме или системе отплаты труда в общей численности работников:

где s – количество работников, получающих заработную плату по определенной форме или системе оплаты труда;
S – общая численность работников;
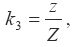
3) доля заработной платы, начисленной по соответствующей форме или системе оплаты труда, в общем фонде заработной платы наемных работников:

где z – заработная плата, начисленная по соответствующей форме или системе оплаты труда;
Z – общий фонд зарплаты.
Вопрос 32. Состав фонда заработной платы. Выплаты социального характера и прочие выплаты
Фонд заработной платы состоит из четырех групп выплат:
1) прямая заработная плата за отработанное время или проделанную работу;
2) выплаты за неотработанное время;
3) единовременные поощрительные выплаты;
4) выплаты на питание, жилье и топливо.
В состав прямой заработной платы входят следующие элементы:
1) заработная плата, начисленная за отработанное время или проделанную работу по тарифным ставкам, окладам, сдельным расценкам, в процентах от объема реализованной продукции или оказанных услуг;
2) стоимость продукции, выданной в порядке натуральной оплаты труда;
3) выплаты стимулирующего характера, начисленные в соответствии с принятыми на предприятии системами оплаты труда, совмещение профессий и др.;
4) премии и вознаграждения, носящие регулярный или периодический характер;
5) выплаты компенсирующего характера, связанные с режимом работы и условиями (например, за работу в ночное время);
6) оплата труда квалифицированных рабочих и специалистов, привлекаемых для подготовки, переподготовки и повышения квалификации работников предприятия;
7) оплата труда работников несписочного состава и лиц, принятых на работу по совместительству.
Выплаты за неотработанное время – это различные выплаты, включающие оплату неотработанных часов в пределах рабочего дня, оплату неотработанных человеко-дней, в том числе оплату ежегодных и дополнительных отпусков, оплату льготных часов подростков и др.
Единовременные поощрительные выплаты – это единовременные премии независимо от источников их выплат, вознаграждения по итогам работы за год, за выслугу лет и др.
Выплаты на питание, жилье, топливо – это стоимость продуктов питания, жилья и коммунальных услуг, бесплатно предоставленных в соответствии с законодательством работникам отдельных отраслей экономики, а также средства на возмещение расходов на эти цели сверх сумм, предусмотренных законодательством.
Выплаты социального характера – это предоставляемые работникам в денежной и натуральной формах компенсации и социальные льготы на лечение, проезд, трудоустройство и другие цели. В составе выплат социального характера выделяют следующие элементы:
1) надбавки к пенсиям работающим на предприятии, единовременные пособия уходящим на пенсию ветеранам труда;
2) страховые платежи, уплачиваемые предприятием по договорам личного, имущественного, добровольного медицинского и иного страхования в пользу своих работников;
3) оплата путевок работникам и членам их семей на лечение, отдых, экскурсии, путешествия и стоимости их проезда к месту отдыха и обратно, включая стоимость провоза багажа;
4) возмещение родителям оплаты за детей в дошкольных учреждениях; компенсации женщинам, находящимся в частично оплачиваемом отпуске по уходу за ребенком;
5) выходное пособие при прекращении трудового договора, суммы, выплачиваемые уволенным работникам на период трудоустройства в связи с ликвидацией предприятия, сокращением численности работников;
6) оплата проезда к месту работы транспортом общего пользования, специальными маршрутами, ведомственным транспортом;
7) оплата абонементов в группы здоровья, занятий в спортивных секциях, оплаты расходов на протезирование и другие подобные расходы;
8) стипендии работникам списочного состава, направленным предприятием на обучение в учебные заведения, и некоторые другие расходы и выплаты, предусмотренные соответствующей инструкцией.
Ряд расходов предприятия не относится ни к фонду заработной платы, ни к выплатам социального характера:
1) командировочные расходы;
2) расходы на профессиональное обучение и культурно-бытовое обслуживание работников и др.
Вопрос 33. Средний уровень заработной платы
Средняя часовая заработная плата рассчитывается на основе части начисленного за месяц фонда заработной платы, представляющая собой прямую заработную плату или часовой фонд заработной платы (ФЧЗП).
В состав фонда часовой заработной платы входят компоненты оплаты по сменным расценкам, тарифным ставкам, премии, компенсации и доплаты, начисляемые за отработанные человеко-часы, при нормальной продолжительности рабочей смены.
Средняя часовая заработная плата рассчитывается по формуле:

где Т – число отработанных человеко-часов.
Средняя дневная заработная плата рассчитывается на основе дневного фонда заработной платы (ФДЗП).
В состав фонда дневной заработной платы входят часовой фонд заработной платы, а также часы, не отработанные, но подлежащие оплате согласно действующему законодательству, оплату льготных часов подростков, оплату внутрисменных простоев не по вине работника, оплату сверхурочной работы и др. Таким образом, дневной фонд заработной платы представляет собой оплату за фактически отработанные человеко-часы.
Средняя дневная заработная плата рассчитывается по формуле:

где Т – число отработанных человеко-дней.
Между показателями среднего часового и среднего дневного заработков существует взаимосвязь, которая описывается равенством вида:
fднев = fчас * а * k1,
где а – средняя продолжительность рабочего дня,
k1 – коэффициент увеличения фонда дневной заработной платы за счет доплат, рассчитываемый по формуле:

Средняя месячная заработная плата рассчитывается на основе месячного фонда заработной платы (ФМЗП).
В составе месячного фонда заработной платы входят следующие компоненты:
1) фонд дневной заработной платы;
2) выплаты за неотработанные дни: оплата очередных и учебных отпусков; оплата дней, не отработанных в связи с выполнением государственных и общественных обязанностей; суммы, выплачиваемые за счет средств предприятия за неотработанные дни работникам, вынужденно работавшим неполное рабочее время по инициативе администрации; оплата целодневных простоев не по вине работника;
3) прочие выплаты, включаемые в соответствии с установленным порядком в состав фонда заработной платы: денежная компенсация за неиспользованный отпуск, вознаграждение за выслугу лет, единовременные премии и другие поощрения, и т. д.
Средняя месячная заработная плата рассчитывается по формуле:

Между показателями среднего месячного и среднего дневного заработков существует взаимосвязь, которая описывается равенством вида:
fмес = fднев * b * k2,
где b – средняя фактическая продолжительность рабочего периода в днях;
k2 – коэффициент увеличения фонда месячной заработной платы за счет доплат, рассчитываемый по формуле:

На уровне предприятий и организаций рассчитывается показатель средней месячной заработной платы работников без совместителей. В этом случае из начисленного фонда заработной платы вычитается сумма начисленной оплаты труда лиц, принятых на работу по совместительству, и полученная сумма делится на среднюю списочную численность работников без учета лиц, работающих по совместительству.