Вопрос 34. Анализ динамики среднего уровня оплаты труда. Анализ дифференциации работающих по найму по уровню оплаты труда
Для изучения динамики среднего уровня заработной платы применяется индексный метод. При этом рассчитываются индексы постоянного, переменного состава и структурных сдвигов.
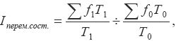
Индекс переменного состава характеризует изменение среднего уровня оплаты труда в зависимости от изменения двух факторов:
1) изменения зарплаты у различных категорий работников;
2) структурных изменений в составе работающих.
Индекс переменного состава среднего уровня заработной платы рассчитывается по формуле:

где f0 и f1 – средняя заработная плата по категориям персонала в базисном и отчетном периодах;
T0 и T1 – среднесписочная численность отдельных категорий персонала в базисном и отчетном периодах
Индекс постоянного состава среднего уровня заработной платы рассчитывается по формуле:

Данный индекс характеризует среднее изменение заработной платы только за счет изменения уровней заработной платы у отдельных групп работников. Таким образом, устраняется влияние структурного фактора
Индекс структурных сдвигов среднего уровня заработной платы рассчитывается по формуле:

Данный индекс характеризует, каким образом изменился средний уровень заработной платы под влиянием изменения удельного веса численности работников с различным уровнем заработной платы.
Размер заработной платы работника зависит от множества факторов, среди которых можно отдельно выделить уровень его квалификации, интенсивность труда, условия труда, отрасль, в которой он занят, территориальное размещения предприятий и организаций. Поэтому в статистике оплаты труда исследуется явление дифференциации заработной платы работников.
Показатели дифференциации работающих по уровню оплаты труда рассчитываются на основе материалов ежегодно проводимого статистического обследования.
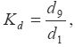
К наиболее распространенным показателям дифференциации заработной платы относятся децильный коэффициент дифференциации и коэффициент фондов.
Децильный коэффициент дифференциации рассчитывается по формуле:

где d1 – величина первого дециля (10 % работников имеют зарплату ниже этого значения);
d9 – величина девятого дециля (10 % работников имеют зарплату выше этого значения).
Коэффициент фондов рассчитывается по формуле:

где Ф1 – фонд заработной платы, который приходится на 10 % работников с самой низкой зарплатой;
Ф10 – фонд заработной платы, который приходится на 10 % работников с самой высокой зарплатой;
f1 – средняя заработная плата наименее оплачиваемых работников;
f10 – средняя заработная плата наиболее оплачиваемых работников.
Коэффициенты дифференциации заработной платы работников рассчитываются на уровне предприятий, отраслей и экономики в целом.
Вопрос 35. Состав затрат предприятий и организаций на рабочую силу
Статистика затрат на рабочую силу – это новый раздел российской статистики труда.
Затратами предприятия (организации) на рабочую силу называются суммы вознаграждений в денежной и натуральной формах, начисленные наемным работникам за выполненную работу, и дополнительные расходы, произведенные организацией в пользу своих работников.
Согласно международной стандартной классификации в составе затрат на рабочую силу выделяют десять групп.
В первые четыре группы входят расходы на оплату труда, входящие в состав фонда заработной платы: оплату за отработанное время, оплату за неотработанное время, единовременные поощрительные выплаты, регулярные выплаты в натуральной форме (на питание, жилье, топливо).
В пятую группу входят расходы предприятия по обеспечению работников жильем: стоимость жилья, переданного в собственность работникам; расходы на содержание ведомственного жилого фонда; суммы, предоставленные работникам для первоначального взноса на жилищное строительство или на погашение кредита, выданного на эти цели; расходы на погашение ссуд, выданных работникам на улучшение жилищных условий.
В шестую группу входят расходы на социальную защиту работников, которые в свою очередь делятся на четыре группы затрат:
1) обязательные отчисления в государственные социальные фонды;
2) взносы в негосударственные пенсионные фонды;
3) расходы, являющиеся частью выплат социального характера (надбавки к пенсиям работающим на предприятии, оплата путевок работникам и членам их семей на лечение и отдых, оплата услуг, оказываемых работникам предприятия учреждениями и организациями здравоохранения и т. д.);
4) расходы на содержание медпунктов, профилакториев, домов отдыха, находящихся на балансе предприятия или организации.
В седьмую группу входят расходы на профессиональное обучение, к которым относятся затраты на содержание и аренду учебных помещений, расходы на платное обучение работников, стипендии за счет средств организации работникам, направленным на обучение и другие расходы по подготовке и переподготовке кадров.
В восьмую группу входят расходы на культурно-бытовое обслуживание: расходы предприятия на проведение вечеров отдыха и других культурно-массовых и спортивных мероприятий, на содержание столовых, библиотек, клубов, спортивных сооружений, расходы по организации работы кружков, курсов, студий и т. п., оплата путевок на экскурсии, путешествия, расходы по обустройству садоводческих товариществ, расходы по возмещению ценовой разницы на продукцию, отпускаемую подсобными хозяйствами для общественного питания работников предприятия.
В девятую группу входят прочие затраты, не отнесенные к вышеперечисленным группам, но связанные с использованием наемного труда: оплата проезда к месту работы или отдыха, стоимость выданной бесплатно форменной одежды, обмундирования, спецодежды, спецобуви, других средств индивидуальной защиты, командировочные расходы, включая суточные, или расходы, выплачиваемые взамен суточных, расходы при переводе работников.
В десятую группу входят налоги, связанные с использованием рабочей силы: налог с суммы превышения фактических расходов на оплату труда работников по сравнению с их нормируемой величиной, плата за привлечение иностранной силы и др.
В затраты организаций на рабочую силу не включаются следующие элементы:
1) пособия по временной нетрудоспособности, беременности и родам, уходу за ребенком и другие выплаты из внебюджетных фондов;
2) расходы на капитальное строительство жилья и объектов социальной сферы;
3) доходы по акциям и другие от участия работников в собственности организации.
Вопрос 36. Статистика национального богатства. Баланс активов и пассивов
На современном этапе развития статистики в РФ методология исчисления национального богатства в значительной степени соответствует методологии баланса национального хозяйства (БНХ), а не концепции системы национальных счетов (СНС).
Национальное богатство (НБ) в рамках баланса национального хозяйства – это совокупность накопленных материальных благ, которыми располагает общество в данный момент времени.
Национальное богатство в рамках системы национальных счетов – это совокупность всех нефинансовых чистых финансовых активов по состоянию на определенный момент времени.
Показатель национального богатства используется для характеристики имущественного положения страны в целом. Рост национального богатства является одним из главных факторов экономического роста страны.
В статистике расчет показателя национального богатства обычно осуществляется по состоянию на начало и конец года.
Основная задача статистики национального богатства заключается в характеристике наличия и состава активов, являющихся элементами национального богатства, количественной оценке их динамики и эффективности использования на уровне секторов, отраслей и экономики в целом.
Для страны в целом ее национальное богатство (собственный капитал) представляет собой совокупность нефинансовых активов всех хозяйствующих субъектов, находящихся на экономической территории страны и чистых требований к другим странам.
Чистая стоимость требований к другим странам – это разность между стоимостью финансовых зарубежных активов, держателями которых являются резиденты данной страны, и суммой финансовых зарубежных обязательств резидентов данной страны по отношению к остальному миру.
Расчет национального богатства и чистой стоимость собственного капитала для каждой хозяйственной единицы и секторов экономики отражается в специальных таблицах, которые называются балансами активов и пассивов. Данные балансы составляются на начало и конец периода.
Баланс активов и пассивов на начало (конец) периода