
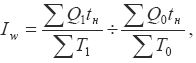
где tн – затраты рабочего времени по норме;
?Qtн – трудовая выработка продукции (нормо-часы);
?T – фактические затраты рабочего времени на производство всей продукции;

– средняя выработка в нормо-часах.
Данный индекс называется трудовым индексом производительности труда.
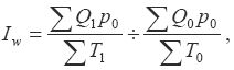
Если показатель общего объема разнородной продукции выражен в денежном выражении, то индекс производительности труда строится по формуле:

где ?Qp0 – выработка продукции в денежном выражении;
?T – фактические затраты рабочего времени на производство всей продукции;

– средняя выработка в денежном выражении.
Данный индекс называется стоимостным индексом производительности труда;
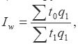
2) трудовым методом сопоставления фактических уровней трудоемкости:

где ?t1q1 – общие фактические затраты рабочего времени на производство продукции;
?t0q 1 – условные затраты рабочего времени на производство продукции.
Показатель
(?t0q1 – ?t1q1)
характеризует экономию (дополнительные затраты) рабочего времени в связи с ростом (снижением) производительности труда.
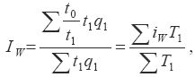
Данный индекс называется агрегатным индексом производительности труда. Он может быть преобразован к среднему арифметическому индексу производительности труда:

где iW – индекс производительности труда по отдельному виду продукции:

Средняя арифметическая форма индекса производительности труда используется в том случае, если в отдельных производственных единицах используются различные методы измерения уровня производительности труда и возникает необходимость расчета обобщающей оценки динамики производительности труда по данной совокупности производственных единиц в целом.
3) метод, при котором сопоставляются индексы объема продукции и затрат труда:

Вопрос 30. Статистические методы изучения факторов роста производительности труда
При изучении влияния отдельных факторов на динамику производительности труда могут использоваться различные методы.
Применение индексного метода заключается в расчете индексов производительности труда переменного состава, постоянного состава и влияния структурных сдвигов по совокупности предприятий. На основе рассчитанных индексов осуществляется анализ динамики среднего уровня производительности труда по некоторой совокупности производственных единиц.
Применение метода цепных подстановок рассмотрим на примере анализа влияния использования рабочего времени на производительность труда. На уровень и динамику среднемесячной выработки продукции в расчете на одного работающего оказывают влияние несколько факторов:
1) среднечасовая выработка в расчете на одного рабочего а0 в базисном периоде и а1 в отчетном периоде;
2) средняя фактическая продолжительность рабочего дня b0 в базисном периоде и b1 в отчетном периоде;
3) средняя фактическая продолжительность рабочего периода в днях с0 в базисном периоде и с1 в отчетном периоде;
4) доля рабочих в общей численности работающих d0 в базисном периоде и d1 в отчетном периоде.
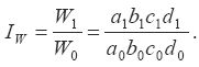
Пусть W0 – это среднемесячная выработка продукции на одного работающего в базисном периоде, а W1 – это среднемесячная выработка продукции на одного работающего в отчетном периоде.
Абсолютное изменение среднемесячной выработки одного работающего рассчитывается как:
?W=W1-W0=a1b1c1d1-a0b0c0d0.
Относительное изменение среднемесячной выработки одного работающего выражается с помощью индекса:

С помощью метода цепных подстановок можно определить влияние каждого их четырех факторов в отдельности на изменение показателя среднемесячной выработки одного работающего.
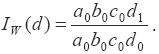
Влияние изменения доли рабочих в общей численности работающих на изменение среднемесячной выработки равно:
1) в абсолютном выражении:
?W(d)=a0b0c0d1-a0b0c0d0;
2) в относительном выражении:

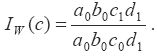
Влияние изменения продолжительности рабочего периода в днях на изменение среднемесячной выработки равно:
1) в абсолютном выражении:
?W(с)=a0b0c1d1-a0b0c0d1;
2) в относительном выражении:

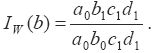
Влияние изменения продолжительности рабочего дня на изменение среднемесячной выработки равно:
1) в абсолютном выражении:
?W(b)=a0b1c1d1-a0b0c1d1;
2) в относительном выражении:

Влияние изменения среднечасового уровня производительности труда на изменение среднемесячной выработки равно:
1) в абсолютном выражении:
?W(а)=a1b1c1d1-a0b1c1d1;
2) в относительном выражении:

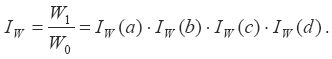
Взаимосвязь между абсолютными приростами выражается равенством вида:
?W=W1-W0=?W(a)+?W(b)+?W(c)+?W(d).
Взаимосвязь между относительными показателями выражается равенством вида:

Метода группировок позволяет определить наличие или отсутствие связи и характер зависимости между анализируемым фактором и показателем производительности труда.
Корреляционный анализ позволяет установить существование зависимости и выразить ее количественно, т. е. найти уравнение регрессии и измерить тесноту связи.
Вопрос 31. Статистика оплаты труда. Формы и системы оплаты труда
Оплата труда – это регулярно получаемое вознаграждение за произведенную продукцию, оказанные услуги или за отработанное время (включая оплату ежегодных отпусков, праздничных дней и другого неотработанного времени), которое оплачивается в соответствии с трудовым законодательством и коллективными трудовыми договорами.
К задачам статистики оплаты труда относятся:
1) определение фонда заработной платы и величины выплат социального характера;
2) анализ состава и структуры фонда заработной платы;
3) определение средней номинальной заработной платы и среднего дохода работников;
4) анализ динамики заработной платы и доходов работников;
5) определение размера заработной платы отдельных профессиональных групп работников;
6) анализ дифференциации работников по размеру заработной платы.
Различают две формы оплаты труда:
1) сдельная форма оплаты труда, при которой заработная плата начисляется за фактически выполненный объем работы по установленным сдельным расценкам за единицу работы;
2) повременная форма оплаты труда, при которой заработная плата начисляется за фактически отработанное время в соответствии с принятой тарифной ставкой или должностным окладом.
В составе каждой из описанных форм оплаты труда входят различные системы оплаты труда. В составе сдельной формы оплаты труда выделяют следующие системы оплаты труда:
1) прямая сдельная система;
2) сдельно-премиальная система, при которой заработная плата состоит из основного заработка за сделанную работу и премий за производственные результаты;
3) сдельно-прогрессивная система, при которой предусматриваются повышенные расценки за продукцию, произведенную сверх установленных норм;
4) аккордная система, при которой заработная плата начисляется по окончании работы за весь объем произведенной продукции.
В составе повременной формы оплаты труда выделяют следующие системы оплаты труда:
1) простая повременная система;
2) повременно-премиальная система, при которой к основному заработку добавляются премии за производственные результаты, надбавки за профессиональное мастерство, совмещение профессий и должностей и др.
Степень распространения различных форм и систем оплаты труда характеризуется с помощью следующих статистических следующие показателей: