w мес=w час* а * b;
7) показатель средней месячной (квартальной, годовой) выработки продукции в расчете на одного среднесписочного работника основной деятельности (в промышленности – промышленно-производственного персонала):

8) взаимосвязь показателя среднемесячной выработки продукции с предыдущим показателем уровня производительности труда выражается равенством:
wмес. на 1 работника = wмес.* d,
где d – доля рабочих в общей численности работников основной деятельности.
Вопрос 27. Натуральные, трудовые и стоимостные показатели уровня производительности труда
Показатель уровня производительности труда в зависимости от выбора единиц измерения продукции может быть рассчитан тремя методами – натуральным, трудовым и стоимостным.
Если учет произведенной продукции осуществляется в натуральных единицах измерения (штуках, метрах, тоннах и т. д.), то показатель уровня производительности труда рассчитывается натуральным методом. В этом случае данный показатель выражается количеством штук, метров, тонн и т. д. продукции, произведенных в единицу времени:
w=Q/T,
где Q – объем продукции в натуральных единицах измерения.
Достоинства натурального метода заключаются в простоте расчетов, наглядности и объективности измерения уровня производительности труда. Основным недостатком данного метода является ограниченность сферы его применения. Он может использоваться только на предприятиях или в отраслях, где производится однородная продукция или ведется учет затрат рабочего времени по каждому виду производимой продукции. Однако сфера применения натурального метода несколько расширяется за счет использования условно-натуральных единиц измерения продукции.
Если учет произведенной продукции осуществляется в нормо-часах рабочего времени, то показатель уровня производительности труда рассчитывается трудовым методом. В этом случае соизмерителем различных видов продукции или работ является нормативная трудоемкость:
w=Q/T,
где Q – объем производства в трудовых единицах измерения.
Достоинство трудового метода заключается в том, что с его помощью можно измерить производительность труда рабочих, выполняющих различные виды работ. Однако данный метод также характеризуется ограниченной сферой применения, т. к. нормативы трудоемкости на различных предприятиях не совпадают. Трудовой метод применяется на уровне отдельных участков производства, где разработаны нормативы затрат рабочего времени и обычно отсутствуют цены на продукцию.
Если учет произведенной продукции осуществляется в денежном выражении, то показатель уровня производительности труда рассчитывается стоимостным методом. В этом случае сопоставляются объем продукции в денежном выражении с затратами живого труда:
w=Q/T,
где Q – объем продукции в денежном выражении.
Основное достоинство стоимостного метода заключается в том, что с его помощью можно измерить уровень и динамику производительности труда при производстве разнородной продукции. Также данный метод обеспечивает возможность получения сводных данных по отраслям, территориям и экономике в целом.
В различных отраслях экономики применяются разные показатели производительности труда:
1) в промышленности – объем продукции в натуральном или стоимостном выражении в расчете на одного работника промышленно-производственного персонала, в расчете на отработанный человеко-день или человеко-час; трудоемкость единицы продукции или работ;
2) в сельском хозяйстве – выработка продукции в денежном в расчете на одного среднегодового работника, на один отработанный человеко-день; выработка сельскохозяйственных продуктов в натуральном выражении в расчете на один отработанный человеко-час; затраты труда в человеко-часах на производство единицы продукции;
3) в строительстве – объем строительно-монтажных работ по сметной стоимости в расчете на одного работника строительно-производственного персонала, занятого на строительно-монтажных работах и в подсобных производствах, числящихся на балансе строительных организаций, в расчете на один отработанный человеко-день или человеко-час;
4) в торговле – товарооборот в расчете на одного работника, на один отработанный человеко-день.
Вопрос 28. Анализ динамики производительности труда в условиях производства однородной продукции
При анализе динамики производительности труда в условиях производства однородной продукции используются индексы производительности труда. Существует несколько методов определения данных индексов:
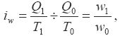
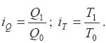
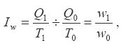
1) метод, при котором сопоставляются прямые показатели уровня производительности труда:

где Q1, Q0 – количество произведенной продукции в отчетном и базисном периодах соответственно;
T1, T0 – затраты труда на производство продукции в отчетном и базисном периодах соответственно;
w1, w0 – производительность труда в отчетном и базисном периодах соответственно;
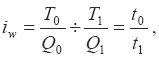
2) метод, при котором сопоставляются обратные показатели уровня производительности труда:

где t1, t0 – трудоемкость в отчетном и базисном периодах соответственно;
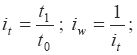
3) метод, при котором индекс производительности труда рассчитывается как величина, обратная индексу трудоемкости it:

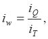
4) метод, при котором сопоставляются индивидуальные индексы объема продукции и затрат труда:

где

Показатель объема продукции Q при производстве однородной продукции зависит от двух факторов:
1) затрат рабочего времени Т;
2) производительности труда w.
В базисном периоде эта зависимость выражается равенством вида Q0=T0w0, а для отчетного периода равенством вида Q1=T1w1.
Общий прирост продукции за счет двух факторов равен:
?Q = Q1 – Q0 = T1w1 – T0w0.
Изменение объема продукции за счет изменения затрат рабочего времени при постоянном уровне производительности труда равно:
?Q(Т) = (Т1 – Т0)w0.
Изменение объема продукции за счет изменения производительности труда при постоянном уровне затрат труда равно:
?Q(w) = (w1 – w0)T1.
Общий прирост объема продукции в отчетном периоде по сравнению с базисным за счет действия двух факторов:
?Q = ?Q(Т)+ ?Q(w).
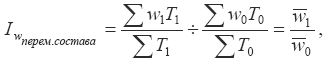
Для группы фирм, производящих однородную продукцию, вычисляется индекс производительности труда переменного состава:

где w1, w0 – производительность труда на соответствующих предприятиях;
T1, T0 – затраты труда на производство продукции на соответствующих предприятиях.
Величина данного индекса зависит от двух факторов:
1) изменения уровня производительности труда на отдельных производственных объединениях;
2) изменения удельного веса отдельных предприятий по затратам рабочего времени (по численности рабочих) в общих затратах труда (в общей численности рабочих).
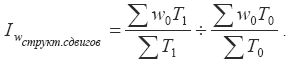
Влияние первого фактора на индекс производительности труда переменного состава определяется с помощью индекса постоянного состава:

Влияние второго фактора на индекс производительности труда выявляется с помощью индекса структурных сдвигов:

Вопрос 29. Методы измерения динамики производительности труда в условиях производства разнородной продукции
Существует несколько методов измерения динамики производительности труда в условиях производства разнородной продукции. К ним относятся:
1) метод, при котором сопоставляются прямые показатели уровня производительности труда:

где T1, T0 – общие затраты труда на производство продукции в отчетном и базисном периодах соответственно;
w1, w0 – общая производительность труда в отчетном и базисном периодах соответственно.
Q 1, Q 0 – общий объем разнородной продукции, который может быть выражен в нормо-часах рабочего времени и в денежном выражении.
Если показатель общего объема разнородной продукции выражен в нормо-часах, то индекс производительности труда строится по формуле: