Шульпин Г. Б. - Эта увлекательная химия стр 18.

Шрифт
Фон

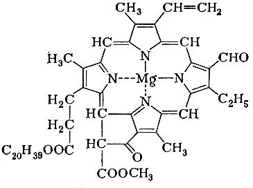
Ключевое вещество этого процесса то, что связывает свет с химией зеленый

пигмент растений хлорофилл. Исследования этого вещества одна из самых драматических страниц истории химии, и не только химии. На этой странице славные имена К. А. Тимирязева, М. С. Цвета, Р. Вильштеттера,

Г. Фишера, нашего современника Р. Вудворда, завершившего исследования хлорофилла полным его синтезом в I960 г. Но, конечно, фотосинтез отнюдь не исчерпывается реакциями, протекающими при участии хлорофилла. Множество белков-ферментов, промежуточных продуктов, похожих на те, что образуются на разных стадиях окисления углеводов, участвуют в этом процессе. Его исследование остается одной из интенсивно развивающихся областей биохимии и биофизики

Глава 6. Вещество жизни

Полисахарид крахмал денное питательное вещество. Известны и другие продукты полимерного характера, необходимые для жизнедеятельности организма, это в первую очередь белки. Полимерная молекула крахмала построена из огромного числа одинаковых звеньев остатков сахарозы. Белки полимеры иного "сорта": в линейную цепь объединены разные, хотя и однотипные, звенья; эти звенья аминокислоты.

Два иона в одной молекуле

Высокая растворимость в полярных растворителях, большие дипольные моменты и некоторые другие данные позволяют в настоящее время считать, что цвиттерионная форма в растворах преобладает. Впрочем, в таком суммарно электронейтральном, или, как говорят, изоэлектрическом, состоянии аминокислоты могут находиться лишь в весьма узком интервале pH, называемом изоэлектрической точкой. Это очень важная в анализе аминокислот и белков характеристика. Значительно чаще в растворах встречаются частицы с одним положительным или одним отрицательным зарядом.

Можно придумать великое множество аминокислот, различающихся углеводородным скелетом и взаимным положением карбоксильной и аминной групп. Но в природе встречаются почти исключительно α-аминокислоты, т. е. такие, в которых аминогруппа присоединена к атому углерода, соседнему с карбоксилом.

И кислот таких немного чуть больше двадцати. Посмотрите на сводную таблицу природных аминокислот. Здесь и самые простые соединения, например, глицин, аланин. Есть аминокислоты, содержащие две карбоксильные группы (аспарагиновая кислота), две аминогруппы (орнитин), серу (цистеин), фенильное кольцо (фенилаланин). Некоторые аминокислоты (триптофан, гистидин) имеют в своем скелете гетероциклы (мы о гетероциклах поговорим подробнее в следующей главе).

Все кислоты, кроме глицина, содержат асимметрический атом углерода. Почти во всех аминокислотах, встречающихся в природе, расположение групп вокруг асимметрического центра одинаково. Установлено, что это расположение соответствует L-конфигурации. Различаются они только группой R:

Действительно, от природного аланина путем хитрых химических превращений можно прийти к уже знакомой нам L-молочной кислоте:

Приводим перечень (сводную таблицу) аминокислот, выделенных из природных белков:

1. Глицин (Гли)

2. Аланин (Ала)

3. Серии (Сер)

4. Цистеин (Цис)

5. Метионин (Мет)

6. Треонин (Тре)

7. Валин (Вал)

8. Лейдин (Лей)

9. Изолейцин (Илей)

10. Аспарагиновая кислота (Асп)

11. Аспарагин (Асн)

12. Глутаминовая кислота (Глу)

13. Глутамин (Глн)

14. Орнитин (Орн)

15. Лизин (Лиз)

16. Аргинин (Aрг)

17. Гистидин (Гис)

18. Фенилаланин (Фен)

19. Тирозин (Тир)

20. Триптофан (трип)

21. Пролин (Про)

22. Оксипролин (Опро)

Аминокислота плюс аминокислота...

Прошло полтораста лет, многие биологи, химики потратили немало сил для расшифровки загадки бел-ка. Стало ясно, что белок это вещество жизни, что без белка жизнь невозможна. Энгельс писал в 80-х годах прошлого века: "Жизнь есть способ существования белковых тел, существенным моментом которого является постоянный обмен веществ с окружающей их внешней природой, причем с прекращением этого обмена веществ прекращается и жизнь, что приводит к разложению белка" .

Что же представляют собой белки, каков их состав, как построена молекула белка .

К концу прошлого века накопился материал, позволивший предположить, что белки состоят из аминокислот. К 1902 г. было известно 17 аминокислот, входящих в состав белков.

В 1899 г. исследованием белков занялся немецкий химик органик Эмиль Фишер. Уже через два года Фишер сообщил о результатах анализа казеина белка, содержащегося в молоке. Однако оставалось неясно только ли из аминокислот состоят белки, или в состав этих весьма сложных веществ входят и другие компоненты. В результате многолетних исследований стало ясно: белки растительного, животного и микробного происхождения построены из одних и тех же аминокислот, и только из аминокислот. Фишер, кроме того, выяснил, что в разные белки входят разные количества аминокислот. Ясно стало и другое: впечатляющее многообразие белков (а их известны многие тысячи) не объяснишь только варьированием количеств аминокислот. Напрашивалась мысль белки различаются не только составом, но и взаимным расположением аминокислот.

В 1902 г. Эмиль Фишер и Франц Гофмейстер высказали предположение: в белках аминокислоты связаны за счет аминогруппы одной кислоты и карбоксила другой. При образовании такой амидной связи выделяется молекула воды. Продукт реакции пептид- может состоять из двух аминокислот:

Ваша оценка очень важна

0
Шрифт
Фон

Помогите Вашим друзьям узнать о библиотеке