Шульпин Г. Б. - Эта увлекательная химия стр 17.

Шрифт
Фон

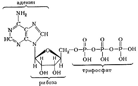
АТФ служит в клетках универсальной энергетической валютой: множество биологических катализаторов ферментов устроено таким образом, что они умеют вести химические реакции, идущие с затратой энергии, за счет гидролитического отщепления одного или двух остатков фосфорной кислоты от молекулы АТФ (этот процесс сопровождается выделением энергии), или, наоборот, умеют использовать энергию, высвобождаемую в реакциях с выделением энергии, для образования АТФ. Ситуация до некоторой степени напоминает электрический аккумулятор: расщепляя АТФ, клетка использует высвобождаемую при этом энергию на биосинтез различных соединений аккумулятор разряжается, а окисляя углеводы, клетка синтезирует АТФ аккумулятор заряжается:

Рассмотрим эти реакции подробнее.

Первая стадия "сгорания" глюкозы в клетке взаимодействие глюкозы с АТФ. При этом АТФ переходит в АДФ, а глюкоза в 6-фосфат. Такой процесс фосфорилирования происходит под действием фермента гексокиназы. Следующий этап окисления "рокировка" глюкозофосфата во фруктозофосфат, которая проходит под действием фермента изоме- разы. В шахматах рокировка применяется для того, чтобы ввести в игру ладью. Рокировка типа глюкоза фруктоза делает доступным для фосфорилирования еще один гидроксил сахара (взаимодействовать с АТФ могут только краевые гидроксилы). После второго фосфорилирования под действием уже другого фермента фосфофруктокиназы получается фруктозо-1,6-дифосфат, который тут же распадается на две части (это "сработал" фермент альдо лаза). Получается дигидроксиацетонфосфат и глице-ральдегид-3-фосфат. Клетке нужен лишь второй продукт, и, чтобы не было отходов производства, она с помощью фермента изомеразы превращает первый фосфат во второй.

На этой стадии в игру вступают два новых соединения, о которых нужно сказать несколько слов. Это глутатион соединение, несущее меркаптогруп- пу SH, т. е. группу, аналогичную спиртовой, но с серой вместо кислорода. И второе вещество никотин- амидадениндинуклеотид (НАД). НАД легко присоединяет водород, переходя в восстановленную форму, которую обозначим так: НАД-Н2.

Дальше разыгрывается процесс, в деталях еще не совсем понятный. Под действием НАД и его восстановленной формы, фермента дегидрогеназы и фосфорной кислоты глицеральдегид-3-фосфат превращается в смешанный ангидрид 3-фосфоглицериновой и фосфорной кислот.

До сих пор, как мы видим, энергия только поглощалась ведь АТФ переходил в АДФ, аккумулятор разряжался. Теперь начинается обратный процесс: энергия с избытком возвратится. Отныне в реакции будет вступать АДФ, а в продуктах появится АТФ аккумулятор будет заряжаться. Так, под действием АДФ и фермента фосфоглицераткиназы образуется 3-фосфоглицериновая кислота, в которой фермент фосфоглицеромутаза вызывает "рокировку" фосфатной группы в положение 2. На полученный- продукт воздействуют фермент енолаза и АДФ получается в конце концов пировиноградная кислота. Процесс превращения в клетке глюкозы в пировиноградную кислоту называется гликолизом. В результате гликолиза клетка из одной молекулы глюкозы получает две молекулы пировиноградной кислоты и восемь молекул АТФ. Превращение глюкозы в пировиноградную кислоту первая стадия, общая для нескольких процессов. Оказывается, что то же самое происходит при действии дрожжей на раствор сахара. Но дело не заканчивается получением пировиноградной кислоты. От этой кислоты под действием фермента декарбоксилазы отщепляется

молекула диоксида углерода и образуется уксусный альдегид, который атакуется ферментом дегидрогеназой и уже известным нам восстановителем НАД-Н2. В результате получаемся этиловый спирт. Суммарное уравнение этого сложнейшего процесса выглядит очень просто:

Это процесс брожения. В мышцах, при большой нагрузке, когда кровь не успевает подводить кислород в нужном количестве, НАД-Н2 восстанавливает пировиноградную кислоту в молочную. Теперь нам ясно происхождение молочной (а точнее, мясо-молочной) кислоты в мышцах, откуда ее и выделил Либих. Интересно, что у спортсменов, пробежавших дистанцию или поднявших штангу, резко увеличивается количество молочной кислоты в крови.

А что происходит, если кислорода в клетке достаточно? Тогда начинается очень сложный процесс окисления пировиноградной кислоты в диоксид углерода и воду. В нем принимают участие кислород, множество ферментов и ряд органических кислот: лимонная, янтарная, яблочная и другие.

При окислении одной молекулы пировиноградной кислоты образуется 15 молекул АТФ. Если учесть, что глюкоза распадается на две молекулы пировиноградной кислоты и вспомнить про 8 молекул АТФ, образующихся при гликолизе, то получается, что на одну молекулу глюкозы клетка получает 38 молекул АТФ. При переходе одного моля АТФ в АДФ (при разрядке "аккумулятора") выделяется 33,5 кДж энергии. Таким образом, при "сгорании" в клетках одного моля глюкозы выделяется 1256 кДж, которые запасаются в этих клетках. Это очень много! Клетки оказываются весьма экономными: их к. п. д. превышает 45% (для сравнения укажем, что к. п. д. паровых машин обычно не более 20%).

Сейчас мы рассмотрели процесс окисления сахара до диоксида углерода и воды, который сопровождается выделением большого количества энергии. Этот же процесс протекает и в растениях, но гораздо большее значение имеет другой, противоположный процесс образование углеводов из воды и углекислого газа воздуха. Это фотосинтез. Понятно, что этот процесс требует затрат энергии. Ее источником в фотосинтезе является солнечный свет. Сложный, многоступенчатый процесс фотосинтеза выражается простым суммарным уравнением, которое совпадает с уравнением дыхания (окисления глюкозы), прочитанным справа налево:

Ваша оценка очень важна

0
Шрифт
Фон

Помогите Вашим друзьям узнать о библиотеке