Шульпин Г. Б. - Эта увлекательная химия стр 16.

Шрифт
Фон

Шестнадцать изомеров

Интересно, что в природе встречается только D- глюкоза, L-антипод был получен синтетически.

Итак, в семействе гексоз шестнадцать сестер 8 пар близнецов. Близнецы очень похожи друг на друга, пары же сильно разнятся как "характерами", так и "внешностью". (Не нужно еще забывать, что каждое соединение существует в α- и β-формах, которые могут переходить одна в другую. Поэтому общее число форм для альдогексоз увеличивается до 32.)

Назовем еще одно семейство углеводов пентозы, содержащие в цепи пять углеродных атомов. Все эти углеводы могут быть произведены от глицеринового альдегида путем наращивания углеродной цепи на один, два или три атома. Глицериновый альдегид содержит один асимметрический атом углерода и поэтому существует в виде двух оптических антиподов. Все углеводы, которые производятся удлинением цепи в D глицериновом альдегиде, относятся к D ряду. Каждому углеводу D ряда соответствует оптический антипод, производимый от L глицеринового альдегида. Из альдегидоспиртов семейства пентозы интерес для нас представляет прежде всего D рибоза. Мы еще не раз вернемся к этому углеводу: он встречается в некоторых витаминах, коферментах и выполняет важнейшие жизненные функции, являясь составной частью нуклеиновых кислот.

Несколько слов о фруктозе, прежде чем перейти к более сложным углеводам. Этот углевод, как и глюкоза, имеет состав С6Н2О6, но относится к классу многоатомных кетоспиртов. В растворе он существует в виде смеси трех форм кетонной (ее очень мало) и двух циклических.

Молекула фруктозы, кроме того, может существовать и в виде пятичленного кольца. Именно в такой форме фруктоза входит в состав обычного сахара.

Вот сейчас и поговорим об этом "сладком" соединении, а также о некоторых других ему подобных.

О сахаре, крахмале и клетчатке

Обычный сахар первый пример. Молекула сахара, или сахарозы, составлена из двух фрагментов более простых углеводов: α-формы шестичленной циклической глюкозы и β формы пятичленной циклической фруктозы. Вот как можно изобразить получение молекулы сахарозы:

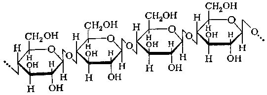
При "синтезе" сахара мы использовали только две молекулы, соединение которых при помощи особых глюкозидных гидроксилов и дало обычную сахарозу. Но в каждой молекуле глюкозы есть и другие гидроксильные группы, которые могут быть использованы для образования связей. Если соединить в цепочку очень большое число звеньев α глюкозы, мы получим крахмал:

Отдельные цепи крахмала могут при помощи оставшихся свободных гидроксилов соединяться между собой. Число глюкозных звеньев в макромолекуле крахмала достигает сотен тысяч.

Если для построения такой гигантской молекулы использовать не α-форму глюкозы, а звенья β-глюкозы, то получим целлюлозу, или клетчатку, которая в растениях образует оболочку клеток:

Получается, что глюкоза и кормит, и одевает. Крахмал, сахар-это ценнейшие питательные вещества, а целлюлоза это и дерево, и бумага, и хлопок, и искусственные волокна, и кинопленка... Вряд ли нужно говорить о полезности дерева и бумаги. Но вот о том, почему нам необходим сахар, как образуется крахмал в растениях, мы поговорим подробнее.

Спирт из сахара и сахар из воздуха

Самый простой преобразователь химической энергии непосредственно в механическую это реактивный двигатель. В реактивном двигателе происходит сгорание, окисление топлива. Похожий процесс протекает и в каждой клетке организма.

Итак прозвенел будильник, вы вскочили с постели, сделали зарядку и сели за стол завтракать. Завтрак это заправка организма топливом. Во многих видах "топлива" содержится значительное количество крахмала. В картофеле, например, его 16%, в рисе-78%, в белом хлебе 51%. "Топливо" поступает в рот, и здесь его встречает фермент амилаза. (Ферменты это биологические катализаторы, о них у нас речь впереди). Под действием амилазы начинается гидролиз содержащегося в пище крахмала. Молекула крахмала расщепляется на довольно короткие цепочки, состоящие из глюкозных звеньев. Пища продвигается дальше и попадает в желудок. Здесь под действием желудочного сока заканчивается кислотный гидролиз крахмала, который теперь распадается до отдельных глюкозных звеньев. Глюкоза идет дальше в кишечник и через стенки кишок поступает в кровь. Кровь разносит многие вещества, в том числе и глюкозу, по всему организму.

Содержание глюкозы в крови поддерживается постоянным при помощи гормона инсулина, выделяемого поджелудочной железой. Повысилось содержание глюкозы вступил в действие инсулин. Он снова полимеризует глюкозу в животный крахмал гликоген, который откладывается в печени. Понизилось содержание глюкозы часть гликогена в печени гидролизуется в глюкозу, которая поступает обратно в кровь. Если поджелудочная железа не может вырабатывать инсулин, содержание глюкозы в крови повышается, что приводит к сахарной болезни-.диабету. Поэтому больным диабетом приходится регулярно вводить в кровь инсулин, выделенный из поджелудочной железы некоторых животных.

Итак, молекула глюкозы попала в клетку организма. Здесь она окисляется, "сгорает" с образованием в конечном счете диоксида углерода и воды. Сгорая, глюкоза выделяет энергию, необходимую организму, чтобы двигаться, осуществлять различные другие процессы, согреваться. Но биологическое окисление похоже на обычное горение лишь по своим конечным результатам. На этом сходство кончается и начинаются принципиальные различия. Биологическое окисление процесс медленный, многоступенчатый, и лишь небольшая часть энергии, высвобождаемой при окислении, превращается на каждой стадии в тепло. Весьма значительная доля энергии, заключенной в химических связях глюкозы, расходуется на образование других веществ, из которых важнейшее в биоэнергетике- аденозинтрифосфорная кислота (АТФ). Это соединение состоит из трех частей- гетероцикла аденина (о гетероциклах мы подробнее будем говорить в седьмой главе), уже известной нам рибозы (т. е. сахара) и трех остатков фосфорной кислоты, образующей с рибозой сложный эфир:

Ваша оценка очень важна

0
Шрифт
Фон

Помогите Вашим друзьям узнать о библиотеке