Ведова Александра - Геометрия. 7-9 класс

Книгу можно купить на ЛитРес.
Всего за 349 руб. Купить полную версию
Шрифт
Фон

От автора

Эта книга предназначена для обычных школьников, которые хотят понять геометрию на плоскости, но в силу разных обстоятельстве в школе им это не удалось сделать. Книга разделена на несколько частей: для удобства изучения и для качественного усвоения материала. Все части книги связаны и представляют собой единую программу по предмету Геометрия, раздел «Планиметрия».

Пусть наука простит меня за какие-то возможные неточности в изложении материала, я не для нее писала эту книгу и старалась максимально связно и доходчиво донести знания до детей любого возраста и для родителей, которые хотят помочь своим чадам в изучении этого предмета или вместе изучают предмет.

Программа отработана и показывает хорошие результаты усвояемости учениками разных возрастов, от 5 до 11 класса.

Планируется выпустить сначала все книги по теории, потом задачники.

Начальные знания об элементарных фигурах

Фигуры на плоскости, изучаемые в школе: треугольники, четырехугольники, окружность, круг, многоугольники.

Также надо различать и понимать, что такое точка, отрезок, луч, прямая, угол.

В курсе «Геометрии» 7-9 класса проходят темы «Векторы», «Метод координат», «Движение» и «Начальные сведенья из стереометрии, однако в ОГЭ по математике, пока что эти темы не включены.

Для начала вспомним определения и свойства элементарных «фигур»:

Точка – абстрактный объект в пространстве, не имеющий никаких измеримых характеристик.

Прямая – это самая простая геометрическая фигура, которая, не имеет ни начала, ни конца, т.е. бесконечна.

Луч – это часть прямой, ограниченная с одной стороны точкой. Луч имеет начало, но не имеет конца. Любая точка на прямой разделяет ее на два луча.

Отрезок прямой – это часть прямой, ограниченная двумя точками (точки называются концами отрезка).

Также надо понимать, что, все вышеперечисленные объекты – это множество точек (кроме точки она одна, не множество), бесконечное множество – ничем ограниченная прямая; бесконечное множество, ограниченное с одной стороны (или имеющее начало) – луч; множество точек имеющие и начало и конец – отрезок.


Точки, обозначаются только большими латинскими буквами

точка A

точка B





Прямые обычно обозначают малыми латинскими буквами

прямая a                  прямая b                  прямая c

Но если на прямой есть точка, то можно обозначать ее двумя точками, лежащими на прямой.



прямая AB

На прямой АВ также есть четыре луча и один отрезок. Луч можно, как и прямую, обозначить малой латинской буквой или двумя большими, где правая будет обозначать начало луча, а вторая может быть любой точкой на этом луче





Отрезок всегда обозначают двумя большими латинскими буквами.

Угол – это геометрическая фигура, которая состоит из точки и двух лучей, исходящих из этой точки. Другими словами, угол – это два луча, у которых совпадают их начала.



Углы обозначаются тремя большими латинскими буквами, где средняя буква является вершиной угла, началом лучей.

Прямые

Прямые могут пересекаться и не пересекаться. Если у прямых есть одна общая точка, то они пересекаются. Прямые a и b пересекаются в точке A.



Если у прямых нет общей точки пересечения, то такие прямые называются параллельными. Прямая c параллельна прямой d. (обозначение //)



Если у прямых две общие точки, то они совпадают, т.к. через две точки можно провести только одну прямую. Прямая z совпадает с прямой LM



Если прямые пересекаются под углом в 90 градусов (под прямым углом), то такие прямые называются перпендикулярными



Прямая h перпендикулярна прямой i

Углы

Углы бывают четырех видов:





Углы на пересекающихся прямых

Углы, которые находятся напротив друг друга, называются вертикальными. Они равные.



Углы, которые находятся рядом и образуют прямую (или развернутый угол) называются смежными. В сумме они составляют 180 градусов.


Углы на двух параллельных прямых и секущей

Соответственные углы равны.




Внутренние накрест лежащие углы также равны




Внешние накрест лежащие углы также равны



Внутренние односторонние углы в сумме составляют 180 градусов



Внешние односторонние углы в сумме составляют 180 градусов



Градусная мера углов

Углы измеряются в градусах « о», минутах « ’», и секундах « ”»



До 9 класса достаточно знать о градусах. О минутах и секундах рассказывают в 10 классе на уроках Алгебры, в разделе «Тригонометрия».

Измерить градусную меру угла можно транспортиром :


Общие сведения о треугольниках

Общие сведения, которые касаются всех треугольников:

1.Сумма углов в любом треугольнике равна ста восьмидесяти градусам

2.У любого треугольника есть средняя линия, длина которой равна половине основания.



Средняя линия (K M) – это отрезок, который соединяет середины сторон, т.е. K – середина AB, M – середина BC.

Значит AK=KB, CM=BM

а (основание для средней линии – это сторона, параллельная ей), т.е.

3.Кратчайшее расстояние от точки до прямой – перпендикуляр. Это понимание нужно для решений некоторых задач, где рисуя перпендикуляр то получается либо высота, либо прямоугольный треугольник , либо

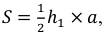
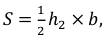
4.Площадь треугольника где a – основание (сторона, на которую опущена сторона), – это высота, опущенная на сторону а.



где b – это основание, а



– это высота, опущенная на основание.



Т.е. площадь можно найти, используя половину произведения ЛЮБОЙ стороны и высоты, ОБЯЗАТЕЛЬНО опущенной именно на эту сторону.

5.Высота – это отрезок, концы которого соединяют вершину треугольника и противоположную сторону так, что сторона и отрезок образуют (прямой угол).



6.Медиана – это отрезок, соединяющий вершину треугольника и середину противоположной стороны.

7.Биссектриса – это отрезок, исходящий из вершины на противоположную сторону и делящий угол пополам.

Виды и свойства треугольников.

Что такое треугольник, думаю, знают все: еще с начальной школы знаем, что такая фигура имеет три угла, три стороны и три вершины. Разберемся теперь, какие треугольники бывают.

В зависимости от углов:

остроугольные (все углы острые, меньше 90°)



тупоугольные (один из углов тупой, больше 90°)



прямоугольные (один из углов прямой, 90°)



В зависимости от сторон:

произвольный (все стороны и углы разные)

равнобедренный (две стороны равны)



равносторонний (три стороны равны)



В планиметрии рассматривают: прямоугольные, равнобедренные и равносторонние треугольники – они немного особенные и свойств у них много, которые надо знать.

У остроугольного нет особенностей.

У тупоугольного есть одна: три высоты будут пересекаться вне треугольника.

Прямоугольный:

Стороны, прилежащие к углу в 90°, называются катетами

Сторона, лежащая напротив угла в 90°, называется гипотенузой

Свойства:

Два острых угла дают в сумме 90°. (Сумма углов в треугольнике составляет 180°, в прямоугольном – один угол прямой, т.е. 90°, 180°-90°=90°, таким образом на два острых угла приходится только 90°.)

Катет, лежащий напротив угла в 30°, равен половине гипотенузы.




Равнобедренный:

Равные стороны называются боковыми, третья- основанием. Боковые стороны равны по определению.

Свойства:

Углы при основании равны.

Ваша оценка очень важна

0

Дальше читают

Шрифт
Фон

Помогите Вашим друзьям узнать о библиотеке

Скачать книгу

Если нет возможности читать онлайн, скачайте книгу файлом для электронной книжки и читайте офлайн.

fb2.zip txt txt.zip rtf.zip a4.pdf a6.pdf mobi.prc epub ios.epub fb3