Перельман Яков Исидорович - Математические головоломки стр 3.

Книгу можно купить на ЛитРес.
Всего за 309.9 руб. Купить полную версию
Шрифт
Фон

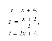
РЕШЕНИЕ


Расчленяем последнее уравнение на три отдельных:


откуда


Подставив эти значения в первое уравнение, получаем:


откуда х = 8. Далее находим: y = 12, z = 5, t = 20. Итак, у братьев было:


8 руб., 12 руб., 5 руб., 20 руб.

Птицы у реки

ЗАДАЧА

У одного арабского математика XI века находим следующую задачу.

На обоих берегах реки растет по пальме, одна против другой. Высота одной – 30 локтей, другой – 20 локтей; расстояние между их основаниями – 50 локтей. На верхушке каждой пальмы сидит птица. Внезапно обе птицы заметили рыбу, выплывшую к поверхности воды между пальмами; они кинулись к ней разом и достигли ее одновременно.

Рис. 1


На каком расстоянии от основания более высокой пальмы появилась рыба?


РЕШЕНИЕ

Из схематического чертежа (рис. 2), пользуясь теоремой Пифагора, устанавливаем:


AB

2

2

x

2

AC

2

2

x

2


Рис. 2


Но АВ = АС, так как обе птицы пролетели эти расстояния в одинаковое время. Поэтому

Ваша оценка очень важна

0

Дальше читают

Шрифт
Фон

Помогите Вашим друзьям узнать о библиотеке

Скачать книгу

Если нет возможности читать онлайн, скачайте книгу файлом для электронной книжки и читайте офлайн.

fb2.zip txt txt.zip rtf.zip a4.pdf a6.pdf mobi.prc epub ios.epub fb3