Арсентьева Александра - Когда любовь стремится к бесконечности. Роман стр 10.

Шрифт
Фон



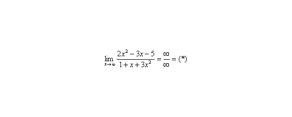
Затем мы выбираем самую старшую степень числителя и знаменателя: в данном примере они совпадают и равны двойке.

Итак, метод решения следующий: для того, чтобы раскрыть неопределенность необходимо разделить числитель и знаменатель на в старшей степени.




Разделим числитель и знаменатель на





Вот оно как, ответ, а вовсе не бесконечность.



Что принципиально важно в оформлении решения?

Во-первых, указываем неопределенность, если она есть.

Во-вторых, желательно прервать решение для промежуточных объяснений. Я обычно использую знак, он не несет никакого математического смысла, а обозначает, что решение прервано для промежуточного объяснения.



В-третьих, в пределе желательно помечать, что и куда стремится. Когда работа оформляется от руки, удобнее это сделать так:


Для пометок лучше использовать простой карандаш.



Конечно, можно ничего этого не делать, но тогда, возможно, преподаватель отметит недочеты в решении либо начнет задавать дополнительные вопросы по заданию. А оно Вам надо?

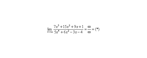
Пример 2

Найти предел

Снова в числителе и знаменателе находим в старшей степени:


Максимальная степень в числителе: 3

Максимальная степень в знаменателе: 4

Выбираем наибольшее значение, в данном случае четверку.

Согласно нашему алгоритму, для раскрытия неопределенности делим числитель и знаменатель на.

Полное оформление задания может выглядеть так:








Разделим числитель и знаменатель на




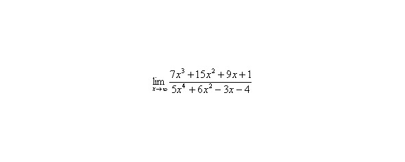
Пример 3

Найти предел

Максимальная степень «икса» в числителе: 2

Максимальная степень «икса» в знаменателе: 1 (можно записать как)

Для раскрытия неопределенности необходимо разделить числитель и знаменатель на. Чистовой вариант решения может выглядеть так:








Разделим числитель и знаменатель на




Под записью подразумевается не деление на ноль (делить на ноль нельзя), а деление на бесконечно малое число.



Таким образом, при раскрытии неопределенности вида у нас может получиться конечное число, ноль или бесконечность.



Пределы с неопределенностью вида и метод их решения



Предвосхищаю вопрос от чайников: «Почему здесь деление на ноль? На ноль же делить нельзя!». Смысл записи 0:0 будет понятен позже, после ознакомления с четвёртым уроком о бесконечно малых функциях. А пока всем начинающим изучать математический анализ предлагаю читать далее.

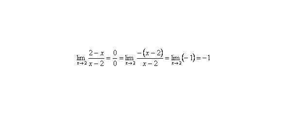
Следующая группа пределов чем-то похожа на только что рассмотренные пределы: в числителе и знаменателе находятся многочлены, но «икс» стремится уже не к бесконечности, а к конечному числу.

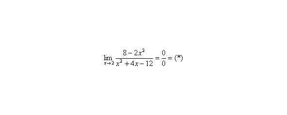
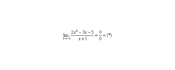
Пример 4

Решить предел

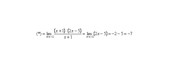
Сначала попробуем подставить -1 в дробь:


В данном случае получена так называемая неопределенность.





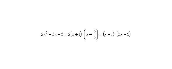
Общее правило: если в числителе и знаменателе находятся многочлены, и имеется неопределенности вида, то для ее раскрытия нужно разложить числитель и знаменатель на множители.



Для этого чаще всего нужно решить квадратное уравнение и (или) использовать формулы сокращенного умножения. Если данные вещи позабылись, тогда посетите страницу Математические формулы и таблицы и ознакомьтесь с методическим материалом Математические формулы и таблицы. Кстати его лучше всего распечатать, требуется очень часто, да и информация с бумаги усваивается лучше.

Итак, решаем наш предел



Разложим числитель и знаменатель на множители

Для того чтобы разложить числитель на множители, нужно решить квадратное уравнение:


Сначала находим дискриминант:


И квадратный корень из него:.





В случае если дискриминант большой, например 361, используем калькулятор, функция извлечения квадратного корня есть на самом простом калькуляторе.

!Если корень не извлекается нацело (получается дробное число с запятой), очень вероятно, что дискриминант вычислен неверно либо в задании опечатка.

Далее находим корни:




Таким образом:



Всё. Числитель на множители разложен.

Знаменатель. Знаменатель уже является простейшим множителем, и упростить его никак нельзя.




Очевидно, что можно сократить на:




Теперь и подставляем -1 в выражение, которое осталось под знаком предела:



Естественно, в контрольной работе, на зачете, экзамене так подробно решение никогда не расписывают. В чистовом варианте оформление должно выглядеть примерно так:



Разложим числитель на множители.









Пример 5

Вычислить предел



Сначала «чистовой» вариант решения



Разложим числитель и знаменатель на множители.

Числитель:

Знаменатель:


,










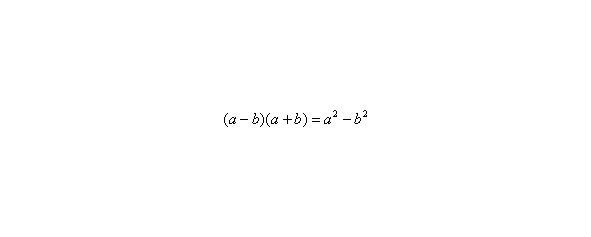
Во-первых, Вы должны хорошо понимать, как раскрыт числитель, сначала мы вынесли за скобку 2, а затем использовали формулу разности квадратов. Уж эту-то формулу нужно знать и видеть.

Рекомендация: Если в пределе (практически любого типа) можно вынести число за скобку, то всегда это делаем.

Более того, такие числа целесообразно выносить за значок предела. Зачем? Да просто чтобы они не мешались под ногами. Главное, потом эти числа не потерять по ходу решения.

Обратите внимание, что на заключительном этапе решения я вынесла за значок предела двойку, а затем – минус.

В ходе решения фрагмент типа встречается очень часто. Сокращать такую дробь нельзя. Сначала нужно поменять знак у числителя или у знаменателя (вынести -1 за скобки).

,то есть появляется знак «минус», который при вычислении предела учитывается и терять его совсем не нужно.




Продолжаем рассматривать неопределенность вида



Следующий тип пределов похож на предыдущий тип. Единственное, помимо многочленов, у нас добавятся корни.

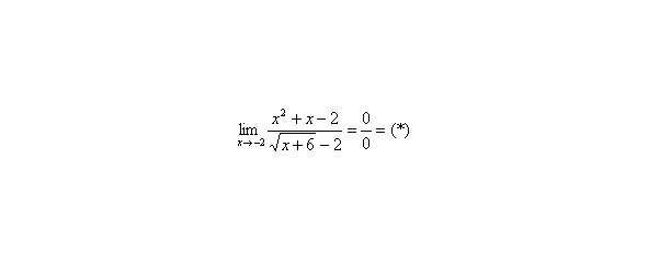
Пример 6

Найти предел



Начинаем решать.

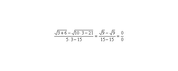
Сначала пробуем подставить 3 в выражение под знаком предела

Еще раз повторяю – это первое, что нужно выполнять для ЛЮБОГО предела. Данное действие обычно проводится мысленно или на черновике.



Получена неопределенность вида, которую нужно устранять.




Как Вы, наверное, заметили, у нас в числителе находится разность корней. А от корней в математике принято, по-возможности, избавляться. Зачем? А без них жизнь проще.

Когда в числителе (знаменателе) находится разность корней (или корень минус какое-нибудь число), то для раскрытия неопределенности используют метод умножения числителя и знаменателя на сопряженное выражение.



Вспоминаем нашу нетленную формулу разности квадратов:

И смотрим на наш предел:

Что можно сказать? у нас в числителе уже есть. Теперь для применения формулы осталось организовать (которое и называется сопряженным выражением).






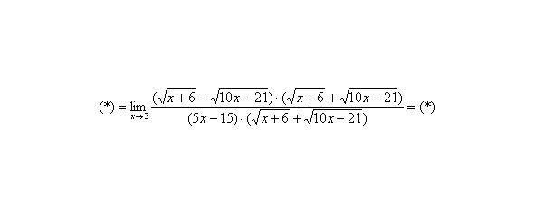
Умножаем числитель на сопряженное выражение:



Обратите внимание, что под корнями при этой операции мы ничего не трогаем.

Хорошо, мы организовали, но выражение-то под знаком предела изменилось! А для того, чтобы оно не менялось, нужно его разделить на то же самое, т.е. на:





То есть, мы умножили числитель и знаменатель на сопряженное выражение.

В известной степени, это искусственный прием.

Умножили. Теперь самое время применить вверху формулу:




Неопределенность не пропала (попробуйте подставить тройку), да и корни тоже не исчезли. Но с суммой корней всё значительно проще, ее можно превратить в постоянное число. Как это сделать? Да просто подставить тройку под корни:




Число, как уже отмечалось ранее, лучше вынести за значок предела.

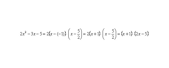
Теперь осталось разложить числитель и знаменатель на множители, собственно, это следовало сделать раньше.



Готово.

Как должно выглядеть решение данного примера в чистовом варианте?

Примерно так:



Умножим числитель и знаменатель на сопряженное выражение.



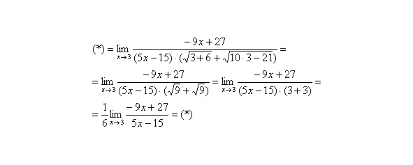
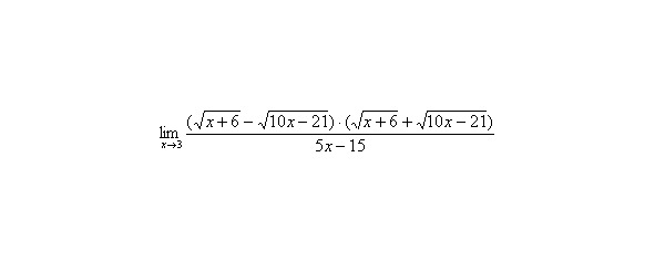
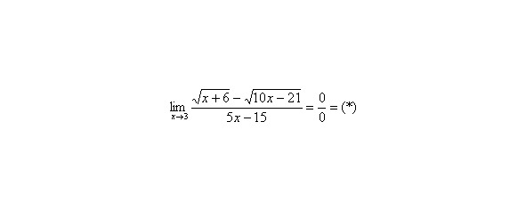
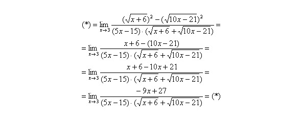
Пример 7

Найти предел



Сначала попробуйте решить его самостоятельно.

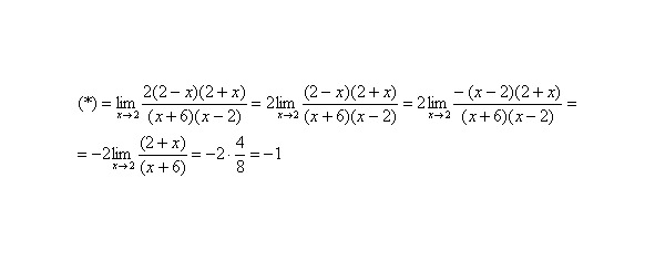
Окончательное решение примера может выглядеть так:



Разложим числитель на множители:








Умножим числитель и знаменатель на сопряженное выражение

Ваша оценка очень важна

0
Шрифт
Фон

Помогите Вашим друзьям узнать о библиотеке

Скачать книгу

Если нет возможности читать онлайн, скачайте книгу файлом для электронной книжки и читайте офлайн.

fb2.zip txt txt.zip rtf.zip a4.pdf a6.pdf mobi.prc epub ios.epub fb3