Уральцев В. Б. - Матрица физики, законов природы стр 2.

Книгу можно купить на ЛитРес.
Всего за 309.9 руб. Купить полную версию
Шрифт
Фон

Увы, до настоящего времени такой теории нет. А ведь мыслители прошлого указывали на интересные факты. Великий Ньютон объяснил, что означает третий закон И. Кеплера: формула доказывала существование некой величины, которую он называл массой и которая сохраняется постоянной в планетных движениях. Что это за масса?


Дж. Максвелл пошел еще дальше, когда в 1873 году в своем трактате «Электричество и магнетизм» установил, что размерность массы – м

3

2


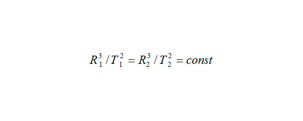
Запишем третий закон И. Кеплера:



Какая величина скрывается под выражением const?


Эти выражения встречаются в различной специальной литературе. Например, в книге уже упомянутого американского физика Л. Купера «Физика для всех» величина R3/T2 различна для всех планет, хотя и близка по значению. В книге американского физика Кл. Э. Суорца «Необыкновенная физика обыкновенных явлений» отношение T2/R3 дано одинаковой цифрой для всех планет. Почему?


Обратимся к выражению R3/T2. Умножим это соотношение на постоянный коэффициент, равный 2. Получаем: 2R3/T2.


Эта формула приводится в учебниках физики для расчетов массы Солнца, но в ней отсутствует еще один множитель – постоянная Кавендиша. Этот множитель необходим только для перевода размерности L, T (метр, секунда) в килограммы (тонны).


Третий закон Кеплера в нашей трактовке принимает вид:


2R3/T2=m Солнца (размерность здесь и далее L, T).


Но в этом случае, подчеркнем, если величину 2R3/T2, где R -расстояние от Земли до Солнца (м), а Т – время одного оборота Земли вокруг Солнца (с), разделить на квадрат скорости движения Земли по орбите вокруг Солнца, получим R – расстояние от Земли до Солнца. В свою очередь, если разделить значение этого расстояния еще раз на величину скорости, то получим время одного оборота Земли вокруг Солнца, деленное на .


Естественно, что эти расчеты можно провести, подставив величины R и Т, соответствующие движению любой другой планеты по своей орбите. Пытливому читателю предоставлена возможность провести эти расчеты самостоятельно.


На основании изложенного можно сделать вывод, что массу Солнца формирует динамика вращательного движения. Ведь в формуле не участвует значение массы планет!


Перейдем ко второму закону движения планет И. Кеплера и попытаемся определить его сущность. Для этого обратимся к вихрю. Да, к тому самому вихрю, который мы часто наблюдаем на улицах и площадях своих городов, в парках или в поле. Его разновидности – тайфуны и торнадо – нам показывают по телевидению. Вихрю посвящены сотни статей в научно-популярной и специальной литературе.


В специальной литературе по аэро- и гидродинамике приводится формула движения частицы в плоском вихре: RV=соnst. Это выражение можно сформулировать так: при вращении вихря радиус-вектор движущейся точки заметает равные площади в единицу времени:


R2πR/T=соnst, м

2


Таким образом, мы математической формулой выразили второй закон И. Кеплера. Квантованием получаем ряд:


2R3/T2, м

3

2

2πR2/T, м

2

R,м – радиус движения точки вихря.

Т/2π, с – время одного оборота точки вихря.


Единицей квантования данного ряда является линейная скорость движения точки данного вихря или любой планеты Солнечной системы.


В этом ряду формул чувствуется определенная закономерность!


Чтобы продолжить наши исследования, нам необходимо обратиться к работам нашего современника, человека необычной судьбы – Роберта Людвиговича Бартини.


Сын богатого итальянского барона-аристократа, он ни в чем не знал отказа: собственные яхты и вилла на берегу Адриатики, громадная библиотека отца, где мальчик зачитывался сочинениями Вольтера, Руссо, Дидро. В начале Первой мировой войны Бартини попадает в плен к русским. По возвращении в Италию экстерном заканчивает Миланский политехнический институт. С приходом к власти Муссолини Бартини покидает Италию и возвращается в Россию, где становится видным авиаконструктором. Известны его скоростные, на то время, самолеты «Сталь-6» и «Сталь-7» [7, 23].


Но нас будут интересовать не самолеты Бартини, а Таблица «Система пространственно-временных величин»



,предложенная им совместно с П. Кузнецовым. Она состоит из вертикальных столбцов, представляющих собой целочисленные степени длины L и горизонтальных строк – целочисленных степеней времени Т. Пересечение каждого столбца и каждой строки автоматически дает размерность той или иной физической величины. Авторы пытались максимально заполнить клеточки таблицы известными физическими величинами.


Однако таблица не была привязана к физической реальности, она не имела ни одной математической формулы для выполнения анализа системы.


Автор, совместно с Волкевичем И. Ф. предлагают таблицу, построенную по тому же принципу, но заполненную математическими формулами. Она называется «Таблица формул для расчетов преобразований во вращательном и колебательном движениях».



В нее прекрасно вписываются законы И. Кеплера. Таблица полна гармонии. По сути, мы имеем дело с одной формулой, ядром всей таблицы: RnVm. Основой таблицы является столбец М0 и строка С0. На их пересечении находится безразмерная единица. Почему? На этот вопрос пока ответа нет. Всего в таблице 56 клеточек, из них 7 – от индуктивности R1V-2 до энергии R1V4 – являются основными, которые определяют параметры процесса вращения любой планеты Солнечной системы вокруг Солнца:


16π4R5/T4, R1V4 – энергия системы «Солнце – Земля», м

5

4

3R4/T3, R1V3 – импульс системы «Солнце – Земля», м

4

3

2R3/T2, R1V2 – гравитационный заряд (масса) ядра вихря, масса Солнца (третий закон И. Кеплера), м

3

2

2πR2/T, R1V1 – площадь, заметаемая радиусом движения планеты Земля на орбите вокруг Солнца в единицу времени (второй закон И. Кеплера), м

2

R, R1V0 – радиус движения планеты Земля на орбите вокруг Солнца. Емкость системы «Солнце-Земля», м.

Т/2π, R1V-1 – период обращения, деленный на 2π, с.

Т2/4π2R, R1V-2 – индуктивность системы «Солнце – Земля», с

2


Поскольку мы имеем дело с вращательным движением, вводим число π, с соответствующей степенью. Число π учитываем только при вычислениях с применением величин R и Т.


Считаем, что оптимальным вращательным движением будет динамика среды – вихрь. Этого мнения придерживался Декарт, эти же идеи были и у Кеплера.


В рамках публикации просто невозможно произвести математические выкладки, поэтому предлагаем читателю данные расчета движения системы «Солнце – Земля». Расчеты для системы «Земля – искусственный спутник» или «Земля – Луна» предлагаем вам выполнить самостоятельно.


117,8 · 10

27

39,55 · 10

23

13,28 · 10

19

4,46 · 10

15

1,49 · 10

11

0,502 · 10

7

Ваша оценка очень важна

0

Дальше читают

Шрифт
Фон

Помогите Вашим друзьям узнать о библиотеке

Скачать книгу

Если нет возможности читать онлайн, скачайте книгу файлом для электронной книжки и читайте офлайн.

fb2.zip txt txt.zip rtf.zip a4.pdf a6.pdf mobi.prc epub ios.epub fb3