Анатолий Трутнев - Новый сборник статей по физике пространства. Наука будущего стр 8.

Книгу можно купить на ЛитРес.
Всего за 134.9 руб. Купить полную версию
Шрифт
Фон

Несмотря на всеобщее признание и ошеломляющий успех, общая теория относительности, как и всякая физическая теория имеет свою область применения и, по мнению, многих физиков [4] имеет существенные недостатки.

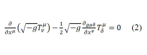
Основным из них считается нарушение главного закона физики  закона сохранения энергии. Дело в том, что, с точки зрения математической физики, в ОТО из-за неоднородности времени закон сохранения энергии является следствием уравнений Эйнштейна и может быть выражен только локально по формуле:



где точка с запятой обозначает взятие ковариантной производной.

Переход от него к глобальному закону невозможен, потому что в ОТО нет величины эквивалентной энергии, чтобы интегрировать от неё сохранялся при движении по времени Это видно, если переписать выше приведенное уравнение в следующем виде:



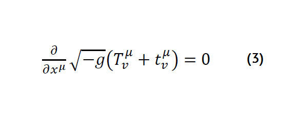
Но в искривленном пространстве, где второй член не равен нулю данное выражение не может представлять закон сохранения энергии. В тоже время ряд физиков считает [2], что в полную энергию, кроме энергии материи, можно включать и энергию гравитационного поля. Тогда соответствующий закон сохранения можно записать в следующем виде:



где Т μ υ энергия-импульс материи

tμ υ энергия-импульс гравитационного поля.

Но величина представляет собой псевдотензор и приписываемый ему отрицательный вклад гравитационного поля в общую энергию не состоятелен. На самом деле он положителен, а это лишает смысла саму идею. Некоторые физики определяют тензор энергии-импульса гравитационного поля как тензор Эйнштейнаи и она точно уравновешивает энергию  импульс материи в любом объеме, тогда их сумма тождественно равна нулю, но это утверждение не нашло всеобщего признания.

Таким образом, выше приведенный литературный обзор проблемы закона сохранения энергии в ОТО, о не разрешимости которой ещё в одной из последних работ в 1946 году писал Эйнштейн [5], несмотря на усилия многих ученых, остаётся неразрешимой до сих пор.

Для более глубокого осмысления взаимосвязи материи и пространства была смоделирована система, в основу которой были положены утверждения Эйнштейна:

 Если исчезнет материя, то исчезнет и пространство;

 Все в физическом мире держится на взаимном отталкивании и притяжении.

ПРИНЦИПЫ МОДЕЛИРОВАНИЯ

Изложены в статье «Образование химических элементов в недрах звезд-результа взаимодействия материи и пространства.


РЕЗУЛЬТАТЫ МОДЕЛИРОВАНИЯ

В соответствии с базовыми принципами смоделированной системы энергия является формой взаимосвязи материи и пространства. В всех процессах, протекающих в физическом мире, имеет место обмен энергиями между материей и пространством. При этом энергия матери (Em) переходит в энергию пространства (  Ep) и наоборот, а их общая сумма (Es) равна нулю. В этом и заключается фундаментальность закона сохранения энергии или вернее превращение одних видов энергии в другие.

Примеры.

1. Тело с массой m движется вертикально вверх, совершая работу (А) против силы тяжести.

A = mgh

На это затрачивается сообщенная телу кинетическая энергия (Ek)

КОНЕЦ ОЗНАКОМИТЕЛЬНОГО ОТРЫВКА

На это затрачивается сообщенная телу кинетическая энергия (Ek)



При движении тела вертикально вверх оно движется в силовых линиях пространства деформированных (сжатых) массой Земли, при этом кинетическая энергия, а это энергия материи, переходит в энергию пространства и расширяет силовые линии пространства в направлении действия сил тяжести, В результате силовые линии пространства деформируются (сжимаются) в направлении противоположном действию сил тяжести и тело движется от Земли. Как только степени деформации (сжатия) впереди и сзади тела сравниваются, а это происходит в момент полного перехода энергии материи (Ek) в энергию пространства (EP), тело начинает движение по силовым линиям пространства в обратном направлении, то есть к Земле

Em + (  Ep) = 0

При движении тела по силовым линиям пространства по направлению к Земле также происходит сжатие их в этом направлении с выделением энергии материи, затраченной массой Земли на их сжатие. В результате энергия пространства переходит в энергию материи и тело приобретает кинетическую (механическую) энергию движения к центру Земли. В следствие того, что степень деформации (сжатия) силовых линий пространства увеличивается по мере приближения к Земле, возрастает и величина выделяющейся энергии. В результате тело движется с ускорением.

В процессе фотосинтеза энергия света (E) переходит в энергию пространства (E). При этом 70% её затрачивается на образование сложных молекул органических веществ (глюкоза) из молекул простых неорганических веществ (вода, углекислый газ), а 30% её запасается в химических связях молекул органических веществ (Рис.1).

3. В процессе дыхания молекулы кислорода вступают в химические реакции с молекулами органических веществ и окисляют их. При этом внешние (валентные) электроны атомов кислорода расширяют силовые линии пространства в химических связях в сложных молекулах органических веществ, связи разрываются, атомы кислорода присоединяются к атомам, составляющим молекулу органических веществ. В результате энергия пространства переходит в энергию матери и в виде тепловой энергии.

Ваша оценка очень важна

0
Шрифт
Фон

Помогите Вашим друзьям узнать о библиотеке

Скачать книгу

Если нет возможности читать онлайн, скачайте книгу файлом для электронной книжки и читайте офлайн.

fb2.zip txt txt.zip rtf.zip a4.pdf a6.pdf mobi.prc epub ios.epub fb3