Анатолий Трутнев - Новый сборник статей по физике пространства. Наука будущего стр 7.

Книгу можно купить на ЛитРес.
Всего за 134.9 руб. Купить полную версию
Шрифт
Фон
КОНЕЦ ОЗНАКОМИТЕЛЬНОГО ОТРЫВКА

mi = mg

Теория гравитации Ньютона базируется на силах тяготения, которые являются дальнодействующими и распространяются мгновенно. Она получила всеобщее признание с момента опубликования и продержалась до 1905 года, когда была замена теорией относительности Эйнштейна.


Необходимость такой замены привело осознание противоречий в основных принципах классической механики  несовместимости принципа относительности закона распространения света.

Как считал Эйнштейн [5],. это связано с тем, что классическая механика опирается на неоправданные гипотезы: промежуток времени между двумя событиями не зависит от движения тела отсчета, не зависит также от него и пространственное расстояние между двумя точками твердого тела, а это означает, что время и пространство абсолютны и разделены между собой.

Противоречия классической механики Эйнштейн разрешил в разработанной им специальной теории относительности/, в основу которой положил два постулата:

 Принцип относительности Эйнштейна, который утверждает, что все физические процессы и явления в одних и тех же условиях в инерциальных системах отсчета протекают одинаково. Все эти ИСО совершенно равноправны и физические законы в них инвариантн

 Скорость света в пустоте постоянна и не зависит от движения источника или приемника света, одинакова во всех направлениях и во всех инерциальных системах отсчета. Она предельна и ни какое материальное тело или информация ни могут двигаться быстрее света.

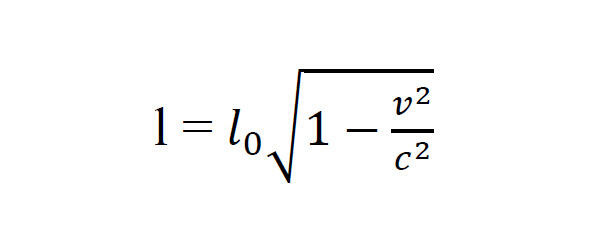
В соответствии с этими постулатами совершенно изменились представления о пространстве и времени Если в классической механике они рассматриваются как абсолютные величины, то в СТО они изменяются при переходе от одной системы отсчета к другой. Так, длина тела в движущейся системе отсчета будет несколько меньше, чем длина того же тела в покоящейся системе отсчета, по формуле



где l  длина тела в движущейся системе отсчета со скоростью v по отношению к покоящейся системе отсчета.

lo  длина тела в покоящейся системе отсчета.

Время же в движущейся системе будет, наоборот, течь медленнее, чем в покоящейся системе, по формуле:



где t  время, текущее в движущейся системе отсчета.

to  время, текущее в покоящейся системе.

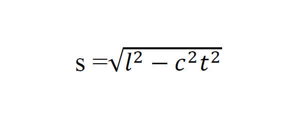
И только единое четырехмерное пространство  время обнаруживается, как абсолютная величина, которая выражается в, так называемом, пространственно-временном интервале (s), по формуле



Главным теоретическим следствием СТ О Эйнштейна является новое понимание массы и энергии физических тел и их систем. Масса в ней определяется энергией тела, а не через силу и ускорение как в механике Ньютона, по формуле:

E = mc2

В СТО также раскрывается возможность превращения энергии покоя в другие виды энергии, здесь закон сохранения массы и закон сохранения энергии объединяются в единый закон сохранения массы  энергии.

Специальная теория относительности получила широкое экспериментальное подтверждение и многие её следствия используются на практике. В настоящее время она является краеугольным камнем современной физики, занимает свою область применения. В ней не учитывается гравитационное воздействие на хотя как и всякая теория она пространство  время, поэтому ее выводы применимы для локальных участков пространства времени, а в масштабах Вселенной они не приемлемы. Для описания Вселенной используются общая теория относительности (ОТО).  геометрическая теория гравитации,

Главное различие этих теорий заключается в том, что в СТО связаны воедино пространство и время (пространство  время), а в ОТО установлена триединая связь: пространство  время  масса.

В СТО пространство-время рассматривается плоским, имеющим нулевой тензор кривизны, а в ОТ О оно искривлено, с тензором кривизны больше нуля. В ОТ О гравитационный эффект обусловлен не силовым взаимодействием тел и полей, находящихся в пространстве  времени, а деформацией самого пространства,  времени, которая связана с присутствием в ней массы.

В настоящее время построено много альтернативных ОТО теорий, Это гравитации  теория струн, петлевая квантовая гравитация, теория мембран, которые позволяют квантовать гравитацию, но все они обладают существенным недостатками, которые не позволяют считать их физическими теориями [3].

КОНЕЦ ОЗНАКОМИТЕЛЬНОГО ОТРЫВКА

В СТО пространство-время рассматривается плоским, имеющим нулевой тензор кривизны, а в ОТ О оно искривлено, с тензором кривизны больше нуля. В ОТ О гравитационный эффект обусловлен не силовым взаимодействием тел и полей, находящихся в пространстве  времени, а деформацией самого пространства,  времени, которая связана с присутствием в ней массы.

В настоящее время построено много альтернативных ОТО теорий, Это гравитации  теория струн, петлевая квантовая гравитация, теория мембран, которые позволяют квантовать гравитацию, но все они обладают существенным недостатками, которые не позволяют считать их физическими теориями [3].

В отличие от них ОТО завершенная физическая теория, предсказания которой подтверждены наблюдениями и экспериментами, включающие в себя гравитационное замедление времени, гравитационное красное смещение, задержание сигнала в гравитационном поле [1]. С помощью ОТО объяснены аномальная прецессия перигелия Меркурия и причины отклонения лучей света в гравитационном поле Солнца.

Ваша оценка очень важна

0
Шрифт
Фон

Помогите Вашим друзьям узнать о библиотеке

Скачать книгу

Если нет возможности читать онлайн, скачайте книгу файлом для электронной книжки и читайте офлайн.

fb2.zip txt txt.zip rtf.zip a4.pdf a6.pdf mobi.prc epub ios.epub fb3