Александр Бакулин - Гравитация и эфир стр 93.

Шрифт
Фон


И поэтому между каждыми двумя последовательными стационарными орбитами, повторяющимися через длину волны «лёгких» квантов-частиц эфира,



укладывается следующее количество длин волн, а следовательно, суб-орбит, поддерживаемых (хотя и весьма слабо поддерживаемых) квантами тяжёлого уровня эфира. То есть между «полочками» стационарных орбит существуют и «полочки»  дискреты поля протона суб-орбит:



дискретов промежуточных орбит.

Тогда выражение для частот, например, серии Лаймана (для «классического» ) будет определяться не формулой



но формулой:



имея при этом в виду, что серия Лаймана будет, начинаясь от R, уменьшаться не на бесконечно-малую величину дискрета (как 0 при m но только на минимально-возможный дискрет частоты:



То есть следующей «полочкой» для частоты (а следовательно, для энергии квантов излучения и поглощения) будет



а вторым дискретом сетки частот (при отсчётах частоты «сверху-вниз» для серии Лаймана будет:



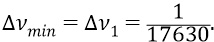
При этом можно быть уверенными в том, что в этой сетке частот из возможных 17630 дискретов серии Лаймана найдутся практически все любые известные физикам.

Заметим, что более всего «тонкая структура» перехода, о которой иногда говорят физики, будет проявляться для положения электрона на его первой (боровской) орбите, когда положение электрона наиболее стабильно, по причине высокой там скорости электрона и одновременно высокому там уровню напряжённости поля протона, цепко держащего электрон на этой орбите сильным потоком квантов эфира (поля протона), держащих резонансным способом электрон на этой орбите.

Рассчитаем, для примера, дискрет суб-орбиты на уровне первой стационарной орбиты:



Для мириадного количества «квантов энергии», ежесекундно прошивающих атом того мира вещества, нагретого до той температуры (20°С), при которой мы, люди, живём в космосе, энергия квантов является весьма заметной. Для орбит же высоких атомных уровней она такова, что может запросто ионизировать атом, находящийся (хотя и кратковременно) в высоковозбуждённом состоянии.

При всём этом мы ещё раз хотим повторить следующее. В своей книге «Философия здравого смысла» мы занимаемся никакой не физикой, но только философией физики. То есть все наши вычисления ни в коем случае нельзя считать какими-то точными физическими. Этими вычислениями мы лишь иллюстрируем возможные подходы к тем задачам, которые могут решаться значительно проще и точнее, чем их решают физики. То есть если физики того захотят когда-нибудь, то они могут профессионально уточнять наши формулы и наши вычисления. Если же они не захотят, то это же могут захотеть сделать школьники. И тогда физики смогут отдыхать.

А сейчас мы начнём приводить в соответствие со здравым смыслом сильно запутанную физиками энергетику атомных орбит. При этом будем решать все задачи, естественно, только классической физикой. Но предварительно поговорим об электродинамике.

А сейчас мы начнём приводить в соответствие со здравым смыслом сильно запутанную физиками энергетику атомных орбит. При этом будем решать все задачи, естественно, только классической физикой. Но предварительно поговорим об электродинамике.

В главе «Ошибка Максвелла» (том 3 Философии) мы показываем, что вектор-направление магнитного поля неверно отражает направление реальных потоков квантов этого поля. Например, в теории атома физики говорят о том, что атомная орбита стремится ориентироваться своим спином вдоль направления магнитного поля (Н). Но спин электронов, как его представляют физики, ориентирован у них всегда: либо параллельно механическому моменту атома, либо антипараллельно ему. Но приводимый нами сейчас рисунок (рис. 21.2) чётко говорит о том, что поле Н, ориентированное так, как на рисунке, то есть параллельное-антипараллельное спину S электрона, вообще никак не может влиять на электрон той орбиты, плоскость которой перпендикулярна полю Н (только при такой ориентации поле Н параллельно спину S). Потому что поток квантов с направления поля Н, показанного на рисунке, всегда будет налетать на рёбра электромагнитных колец конструкции орбитального электрона и, следовательно, никак с электроном не будет взаимодействовать.

Вообще говоря, очень похоже на то, что макро-физику Максвелла, с его векторами электромагнитной волны Е и Н, к теории атома лучше не привлекать. Здесь, внутри атома, вполне можно и даже нужно обходиться лишь электрическим полем Е. Когда же физики в опытах по явлению Зеемана (влияние на атомные спектры магнитных полей) и явлению Штарка (влияние на спектры электрических полей) привлекают гигантские электрические и магнитные поля больших напряжённостей (40 000 эрстед для магнитного поля и 100 000 В/см для электрического поля), то все эти векторы Е и Н по отношению к атомам, в которых плоскости поляризации орбит электронов распределены чуть ли не по равномерному закону (для разных орбит разных электронов, кружащих в полях своих протонов ядра одного и того же атома), приводят физиков к такому сумбуру, в котором абсолютно непонятно, как какой-нибудь конкретный атом может быть ориентирован к этим векторам, и как он может, следовательно, реагировать то ли на поле Е, то ли на поле Н.

Ваша оценка очень важна

0
Шрифт
Фон

Помогите Вашим друзьям узнать о библиотеке

Скачать книгу

Если нет возможности читать онлайн, скачайте книгу файлом для электронной книжки и читайте офлайн.

fb2.zip txt txt.zip rtf.zip a4.pdf a6.pdf mobi.prc epub ios.epub fb3