Александр Бакулин - Гравитация и эфир стр 92.

Шрифт
Фон

Итак, сейчас мы будем обращаться к Свободным людям, каковыми считаем только школьников. Мы всегда, на всех страницах «Философии», обращаемся только к ним. Но не к физикам, удобно устроившимся на долгий привал, боязливо поглядывая на заоблачную Вершину: «А хватит ли силёнок; а может ну её, высокую и далёкую?»

Сейчас мы приступим к очень тяжёлой теме атомной механики. Эта тема довольно сумбурно освещена в многочисленных учебниках и в ещё более многочисленных статьях и книгах самих физиков. Мы скажем жёстко: на этой теме сломались физики 20-го века, которые лишь слегка затронули её основы, в результате чего у них оформилась такая теория как «квантовая механика». Эта теория родилась от бессилия физиков решить проблему классическим путём. Здесь даже такие корифеи, как Нильс Бор, вынуждены были свернуть на временную (как мы в том уверены) тропинку вероятностного описания атомных процессов.

Итак, в главе «Электрон в атоме» 2-го тома Философии мы указали на фундаментальную ошибку Бора о выборе им квадратичной зависимости радиуса (r) стационарной орбиты от номера (n) орбиты. Квантовая же физика, в отличие от теории квантовой механики, располагает атомные орбиты по их радиусам в линейной зависимости от номера орбиты. При этом исходным размером радиуса орбиты для любой теории следует считать радиус первой («боровской») орбиты. Этот радиус особенный в теории атома потому, что именно орбиту с этим номером можно и нужно считать основной атомной орбитой, поскольку физикам спектроскопистам известно, что при температуре близкой к комнатной (20°С) орбитальные электроны атомов разных веществ большую часть времени находятся именно на этом стационарном уровне и именно к нему возвращаются после очередного режима возбуждения атома. И хотя радиус атомной орбиты до сих пор считается ненаблюдаемой величиной, но как многочисленные теоретические, так и практические оценки величины этого радиуса говорят о том, что возможная ошибка его оценки ни в коем случае не может составлять какие-нибудь «разы» от действительного природного значения радиуса, но обязана составлять лишь малые проценты от истинной природной его величины. Мы, вслед за физиками, принимаем «табличное» значение этого радиуса

Но далее, поскольку и среди дилетантов, и среди профессионалов наблюдается великая путаница в представлении всеми ими картины стационарных атомных орбит, то приведём масштабный рисунок орбит, на который мы равнялись прежде и будем равняться всегда в будущем.

Учитывая тот факт природы атомного резонанса, что каждая последующая стационарная орбита обязана отстоять от предыдущей ровно на длину волны кванта эфира «лёгкого» слоя электромагнитного вакуума, мы приведём масштабный рисунок распределения первых атомных орбит, а также формулу для подсчёта радиуса любой орбиты (рис. 21.1).

Здесь длина волны «лёгкого» кванта эфира:


где диаметр нулевой атомной орбиты.


На длине этого диаметра, как и на каждом шаге новой орбиты, квант «лёгкого» эфира делает в пространстве один полный оборот вокруг оси своей конструкции, входя в конце каждого такого шага (на уровне очередной стационарной орбиты) в пространственный резонанс с конструкцией орбитального электрона, кружащего по этой орбите.

Рис. 21.1


Приведём несколько примеров расчёта орбит.

Для первой орбиты:



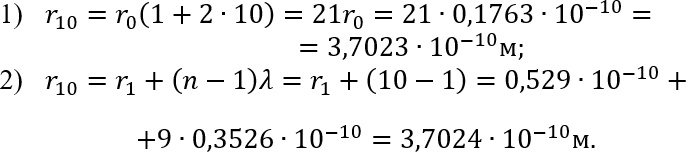
Для десятой орбиты:



Для сотой орбиты:



Для тысячной орбиты:



Мы видим, что на самом деле (как мы в том теперь уже абсолютно уверены по многим причинам нашей уверенности) атом с орбитой номер 1000 (тысяча) имеет не тот гигантский диаметр, который этому номеру ставят в соответствие физики (0,1 мм), но всего лишь 0,035 микрон. Такой атом не только невидим глазом человека, но его только-только можно было бы «увидеть» в школьный микроскоп, если бы в микроскоп можно было бы видеть электронное атомное облако. Но гигантский атом с «тысячным» номером физиков, размером 0,1 миллиметр человеческий глаз увидел бы запросто, что немного не вяжется со здравым смыслом: человек своими органами, вроде бы, не должен видеть атомы, как и не должен видеть, например, ультрафиолет, а также ИК-диапазон фотонов.

Но у физиков, с их квадратичным распределением размеров орбит, размеры атома с действительно получаются следующими:



Но теперь, в дополнение к теме стационарных орбит, мы скажем о существующей в атоме сетке «супер-тонких» дискретов орбит, которые можно было бы назвать «суб-орбитами», о которых физики не только естественным образом не знают, но никогда не было и нет никаких предпосылок, в соответствии с которыми физики могли хотя бы что-то узнать об этих орбитах. Хотя некоторые отдалённые намёки на эти орбиты у физиков можно уловить тогда, когда они рассуждают о некой «тонкой структуре» перехода, естественно не понимая физики этой «структуры». Не знают же они (и не могут знать) ничего об этих суб-орбитах лишь потому, что они практически ничего не знают об эфире. Мы же не только говорим, но кричим физикам о том, что мы вместе с ними и вместе со всеми нашими атомами живём внутри нашего двухуровневого эфира. Это значит, что кроме квантов эфира «лёгкого» его слоя протон ядра обязательно излучает и кванты-частицы «тяжёлого» эфира, длина волны которых вдвое превышает размеры нуклона:

Ваша оценка очень важна

0
Шрифт
Фон

Помогите Вашим друзьям узнать о библиотеке

Скачать книгу

Если нет возможности читать онлайн, скачайте книгу файлом для электронной книжки и читайте офлайн.

fb2.zip txt txt.zip rtf.zip a4.pdf a6.pdf mobi.prc epub ios.epub fb3