Александр Бакулин - Гравитация и эфир стр 88.

Шрифт
Фон

То есть если физики (или студенты университета) обнаружат в подобном опыте такую «синусоиду» на выходе анализатора отклонения потока электронов, то можно будет считать, что этот поток (ток) отклоняется никаким не электромагнетизмом, но, во-первых, только гравитацией, во-вторых, только полем массы «гигантской» Луны. Больше нечем.

К великому сожалению, поле Луны для подобных экспериментов строго монотонно. Но если бы оно было хотя бы в некоторой степени колебательным, то можно было бы думать об измерении скорости передачи гравитационного сигнала. И поэтому (то ли к сожалению, то ли к счастью) колебательные источники гравитации нам (нашим физикам) придётся придумывать самим. Нельзя бесконечно получать от Природы подарки: надо и самим начинать работать.

Завершим тему оценкой некоторых параметров установки. Для удешевления эксперимента не будем предъявлять высокие требования к скоростным и прочностным параметрам установки. Так, в простейшем случае трубу-цилиндр придётся вращать вручную. За время выгодного «горизонтального» положения на небе Луны, установку можно повернуть, допустим, до десятка и более раз, снимая показания аппаратуры и затем усредняя эти показания, что позволит минимизировать «механический дребезг» показаний от механических деформаций трубы. Поэтому, для минимизации подобных деформаций придётся использовать трубу-цилиндр с диаметром не менее 10-ти сантиметров и достаточно толстыми стеками (не менее 5 мм). Такую 6-ти метровую трубу (можно 3-х метровую, но для неё соответствующие характеристики придётся пересчитать) надо устанавливать на достаточно мощную станину (лист металла), приваренную к трубе. Станина-лист вращается на жёстко прикрепленном к ней ровно в центре трубы роликовом подшипнике скольжения большого диаметра. Подшипник же лежит на мощной станине, допустим, швеллера (15 см или шире), сваренного крестообразным способом. Идеальным здесь будет последующее бетонирование этого крестообразного швеллера в грунт.

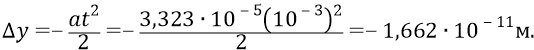
Если же мы задумаем вращать эту установку двигателем, с частотой вращения, скажем, 10 оборотов в секунду, то все наши параметры (как «электронные», так и механические) «поплывут» в худшую сторону для электронных точностных характеристик, но в лучшую сторону для механических точностных. Сразу же скажем о том, что при частоте вращения установки 10 Гц трубу придётся «обкорнать» на порядок её длины до 30-ти сантиметров активного участка «пушка-экран». Вся труба-цилиндр здесь будет иметь длину 0,5 м. Причём по 10 см с обоих концов займёт электронная аппаратура ускорителя и экрана (останется активная зона отклонения электронного луча 30 см). Тогда, двигаясь со скоростью 300 м/сек, «измерительный» электрон преодолеет активный путь за время:



Найдём линейную скорость самой удалённой от центра вращения точки трубы-цилиндра, при угловой скорости вращения 10 оборотов в секунду



Потребуем, чтобы вес аппаратуры, размещаемой на концах цилиндра, не превышал одного килограмма (как аппаратуры источника, так и аппаратуры экрана). Тогда центробежная сила, действующая на аппаратуру и на трубу в целом, составит величину:



Если сравнивать эту силу с «весом» тел на поверхности Земли (они здесь подвергаются ускорению ), то сила «на разрыв» трубы-установки будет:



То есть аппаратура будет испытывать в этой «центрифуге» ускорение Такое ускорение аппаратура обязана выдерживать. Но пересчитаем точностные «гравитационные» характеристики для данного случая:



Это почти на порядок меньше размеров атома. Такое отклонение довольно трудно, но всё же можно обнаружить с помощью специальной электронной обработки. Но основной трудностью в таком последнем эксперименте (с частотой установки 10 оборотов в секунду) будет процесс разграничения полезного (гравитационного) отклонения электронного луча от его инерционного отклонения за счёт вращения установки. Правда, это инерционное отклонение при всегда постоянной скорости вращения будет тоже постоянным, а поэтому его, наверное, можно будет как-то учесть скомпенсировать. Тем более что начальный опыт снятия показаний всегда будет производиться при покоящихся положениях измерительного цилиндра установки.

Таким образом, на последних страницах главы мы привели «целых» два метода измерения «гравитационного сигнала», хотя в качестве этого «сигнала» здесь выступило монотонно-постоянное гравитационное поле удалённого объекта (Луны). Но эти методы могут быть хотя бы каким-то, пусть самым начальным, но шагом вперёд в деле изучения явления гравитации. Но «колебание пространства» у физиков это, безусловно, шаг назад в деле освоения гравитации.

Таким образом, на последних страницах главы мы привели «целых» два метода измерения «гравитационного сигнала», хотя в качестве этого «сигнала» здесь выступило монотонно-постоянное гравитационное поле удалённого объекта (Луны). Но эти методы могут быть хотя бы каким-то, пусть самым начальным, но шагом вперёд в деле изучения явления гравитации. Но «колебание пространства» у физиков это, безусловно, шаг назад в деле освоения гравитации.

Здесь мы практически ничего не успели сказать о построении гравитационных передатчиков. Поэтому изложим хотя бы какие-то мысли для их дальнейшего обсуждения. Вот здесь, для построения передатчиков, вполне могут использоваться, наряду с электронными лучами потоками, лазерные лучи. При этом, как лазерные фотоны (направленные потоки квантов эфира), так и электроны «состоят» из конструкций одинаковых ньютоновых масс. Следовательно, будет выигрывать тот пучок-линейка частиц, который будет обладать максимальной концентрацией частиц в кубическом сантиметре луча. Здесь скажем о том, что если гравитационная передающая «антенна» будет состоять из потоков-струек электронов, то эти потоки жёстко поляризованных электронов можно будет посылать буквально «один за другим», где, скажем, горизонтально поляризованные электроны будут чуть ли не касаться друг друга и при этом «не видеть друг друга», то есть нисколько не отталкиваться друг от друга (по вертикальным столбикам) своими «электрическими зарядами», которые будут действовать только в горизонтальных плоскостях каждого потока, но никак не будут мешать друг другу (не отталкивать друг друга) «верхние» электроны от «нижних». Таким способом можно создавать целую «высокую стенку» из сплошных «горизонтальных» потоков электронов или пучков электронов. То есть фактически будет создан экран довольно приличных размеров (например, 10 метров в высоту и 100 метров в длину), в котором одномоментно будут двигаться миллиарды миллиардов электронов (этой «мгновенной» площади). Кроме того, этот экран-антенну легко можно сделать «параболическим». Для этого поляризация электронов, начиная с нижних потоков и до верхних, должна меняться с любым угловым шагом, скажем, на или меньше. И тогда излучение всей этой «вертикальной параболы» можно будет направлять в «горизонтальную линию» (где можно располагать приёмник гравитационного излучения), которую (эту линию) можно двигать от излучающей параболы на разные расстояния, начиная буквально с одного метра (фокуса) от параболы и далее до сотен, тысяч и миллионов километров, посылая туда, в эту «линию» концентрированный гравитационный сигнал.

Ваша оценка очень важна

0
Шрифт
Фон

Помогите Вашим друзьям узнать о библиотеке

Скачать книгу

Если нет возможности читать онлайн, скачайте книгу файлом для электронной книжки и читайте офлайн.

fb2.zip txt txt.zip rtf.zip a4.pdf a6.pdf mobi.prc epub ios.epub fb3