Александр Бакулин - Гравитация и эфир стр 87.

Шрифт
Фон

Кроме того, эта «миговая» гравитация способна излучаться только нижними левыми по рисунку частицами. Правые же частицы вообще не способны будут излучать в сторону электрона никакую гравитацию, поскольку всегда будут обращены в его сторону только рёбрами своих колец. Но «рёбрами» никакая частица не излучает.

Итак, горизонтальная поляризация электрона очень сильно защищает его от «нижнего» гигантского, но «вертикального» поля Земли. Единственным исключением здесь явится боковая горизонтальная для электрона воздушная оболочка атмосферы Земли. Она будет оказывать на электрон полномасштабное сильное гравитационное излучение. Но если опыт проводится в ясную погоду, при отсутствии по горизонту облаков, то такое «горизонтальное» гравитационное излучение воздушной атмосферы должно быть сильно изотропным, то есть действующим на электрон в каждый миг его прямолинейного движения одинаково со всех сторон направлений.

Рассмотрим теперь кинематику эксперимента. Если смотреть на установку со стороны Луны, то наш опыт будет точь-в-точь похож на школьную задачку о бросании камня вдоль горизонта и его падении на Землю в потенциальном гравитационном поле Земли. Только у нас вместо камня будет электрон, а бросать мы его будем в потенциальном гравитационном поле Луны. Сначала смотрим со стороны Луны в горизонтальную плоскость, которая касается поверхности Земли, а вернее касается пика горки, где расположена наша установка. Источник электронов находится от нас (со стороны Луны) в левом торце цилиндра трубы, электрон летит слева-направо к электрону-анализатору. По ходу своего движения к экрану электрон будет отклоняться в нашу сторону (в сторону Луны). А теперь посмотрим на ту же картинку горизонтальной плоскости сверху. Луна окажется внизу картинки, а электрон летит слева-направо (рис. 20.11).

Рассмотрим теперь кинематику эксперимента. Если смотреть на установку со стороны Луны, то наш опыт будет точь-в-точь похож на школьную задачку о бросании камня вдоль горизонта и его падении на Землю в потенциальном гравитационном поле Земли. Только у нас вместо камня будет электрон, а бросать мы его будем в потенциальном гравитационном поле Луны. Сначала смотрим со стороны Луны в горизонтальную плоскость, которая касается поверхности Земли, а вернее касается пика горки, где расположена наша установка. Источник электронов находится от нас (со стороны Луны) в левом торце цилиндра трубы, электрон летит слева-направо к электрону-анализатору. По ходу своего движения к экрану электрон будет отклоняться в нашу сторону (в сторону Луны). А теперь посмотрим на ту же картинку горизонтальной плоскости сверху. Луна окажется внизу картинки, а электрон летит слева-направо (рис. 20.11).

Запишем кинематическое уравнение движения материальной точки (электрона). В потенциальном поле это движение равноускоренное:



Но поскольку электрон у нас отклоняется в отрицательную сторону оси «y», то знак ускорения «» будет отрицательным. Ось координат выбираем таким образом, чтобы начальное отклонение было нулевым.



В этом кинематическом уравнении скорость это не скорость полёта электрона, но это начальная скорость «падения» электрона в потенциальном поле Луны. Эта скорость в этот начальный момент равна нулю, поскольку электрон, начиная своё движение направо, только начинает падать в поле Луны. Поэтому в данном случае уравнение приобретает окончательный вид:


горизонтальной

Рис. 20.11


Теперь нас будет интересовать ускорение свободного падения электрона, которое в этой формуле не зависит от начальной «боковой» скорости электрона. То есть электрон делает одновременно два независимых движения: 1). Он летит слева-направо с постоянной «боковой» скоростью; 2). Он свободно падает «вниз» с ускорением в гравитационном поле Луны.

Для того чтобы найти «» рассмотрим два фундаментальных уравнения Ньютона. Первое это второй закон:



Второе это закон всемирного тяготения:



где M масса Луны , m масса электрона, R расстояние от Земли до Луны (384 000 км). Сравнивая эти два уравнения, замечаем, что второе уравнение можно записать как:



Здесь это всё та же масса электрона. Но второй сомножитель в последнем уравнении это фактически ускорение свободного падения электрона в поле Луны:



Вычислим его значение:



Проверим по этой же формуле значение ускорения свободного падения на поверхности Луны, при радиусе Луны 1737 км:



Это ускорение меньше, чем ускорение падения тел на поверхности Земли в



То есть все тела любой их массы весят на Луне в 6 раз меньше, чем на Земле. Известный факт.

Найденное же нами значение ускорения тел, находящихся на Земле, под действием гравитационного поля Луны, говорит о том, что любое земное тело притягивается Луной с ускорением (33 микрона) в секунду за каждую последующую секунду.

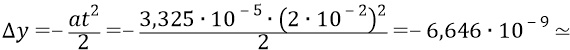
И поскольку время пролёта электрона в цилиндре установки составит (в первом приближении) величину (для активной дистанции электрона от источника до экрана 6 м,



то за это время электрон на экране отклонится («упадёт» в поле Луны) на малое расстояние:



Это в 66 с половиной раз больше размера атома по его первой орбите. Такое отклонение физики обязаны обнаруживать с помощью специальной обработки электрического потенциала места падения электронов на экран. Можно тщательно продумать электронную схему анализатора. А если учесть тот факт, что при вращении трубы-цилиндра мы будем в любом случае иметь колебательный процесс отклонения трассы электронов в разные стороны, то на выходе электронного блока обработки анализатора должен получаться сигнал, в первом приближении похожий на некую синусоиду, колеблющуюся относительно центрального («нулевого») положения её амплитуды.

Ваша оценка очень важна

0
Шрифт
Фон

Помогите Вашим друзьям узнать о библиотеке

Скачать книгу

Если нет возможности читать онлайн, скачайте книгу файлом для электронной книжки и читайте офлайн.

fb2.zip txt txt.zip rtf.zip a4.pdf a6.pdf mobi.prc epub ios.epub fb3