Александр Бакулин - Гравитация и эфир стр 68.

Шрифт
Фон

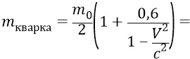
Именно поэтому, для того чтобы вписаться теорией СТО в нашу оценку энергии глюона , этой теории надо было бы в её формуле



занизить массу в 1,87 раза для того, чтобы получить оценку энергии , сделанную нами.

Ещё раз. Для того чтобы получить величину (в формуле )


,


теории СТО надо сделать следующее:



Итак, ещё раз. СТО при высоких скоростях частиц занижает оценку инерционных масс частиц, а следовательно, оценку их полных энергий. Каждый школьник это должен запомнить, а каждый физик-экспериментатор должен иметь в виду при постановке и проведении любых опытов с высокоскоростными частицами.

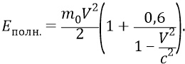
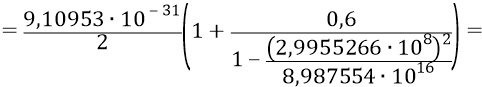
Но мы не нашли пока значение инерционной массы кварка, выраженной в килограммах. Помимо формулы полной энергии частицы, представленной суммой кинетических энергий поступательного и вращательного движения и уже приведённой выше по тексту, в главе «Масса физического тела» первого тома Философии мы вывели также чисто аппроксимирующую формулу для полной энергии частицы:



Из неё найдём инерционную массу кварка при его скорости :



Тогда масса 6-ти кварков будет следующей:



И если к этой массе кварков прибавить найденную нами ранее массу глюонов, то получим следующую «килограммовую» массу нуклона:



которая всего лишь в



превышает классическую табличную массу нуклона.

превышает классическую табличную массу нуклона.

И всё было бы хорошо, если бы последняя наша математическая формула не давала бы нам энергию кварка,




против нашего значения энергии кварка, принятого ранее

Какой цифре доверять больше? Мы больше обязаны доверять, конечно же, не чисто математической аппроксимирующей (подгоночной) формуле с членами типа , но чисто физической формуле, выведенной нами в главе «Масса физического тела» первого тома Философии:




которая даёт, при прочих определённых параметрах кварка, его энергию



По поводу же некоторой нестыковки формул, которые дают разность в энергиях



мы не будем особо страдать, тем более, что оценённые нами ранее эйнштейновские нестыковки подобного же рода составляют величину 1,87 раза. Любую чисто математическую аппроксимирующую формулу всегда можно подкорректировать реальным опытом. Было бы желание физиков.

Итак, «сухим остатком» из анализа некоторых параметров нуклона будем считать следующие ориентировочные цифры и утверждения:

инерционная масса и энергия нуклона принадлежит 6-ти кваркам и 12-ти глюонам его «конструкции»;

полная энергия кварка ;

инерционная масса кварка ;

линейная орбитальная скорость поступательного движения кварка

;


собственная частота вращения кварка вокруг оси симметрии его конструкции

;


полная энергия глюона

;


инерционная масса глюона

;


длина волны глюона



(определяется длиной волны квантов эфира высокочастотного слоя электромагнитного вакуума );


время пролёта глюона внутри конструкции нуклона



Полученные нами примерные характеристики нуклона можно и так и сяк крутить-вертеть, подгоняя их в будущих опытах под природную истину. То есть с ними уже можно как-то работать. Но физики до сих пор не имеют подобных характеристик, а следовательно, они не могут грамотно работать с нуклоном, а могут его только «бестолково» (извините экспериментаторы) гонять (в «лице» протона) в своих, например, коллайдерах-приборах.

А также физики могут, размышляя о теме нуклонов, кварков и глюонов, измышлять всякие небылицы по поводу возможности существования так называемых «глюболов»-частиц, состоящих из одних лишь глюонов. Такие фантазии опасны потому, что отвлекают силы физиков на всякую ерунду. Уважаемые физики, Природа, создавая мир электромагнетизма, наверное, для того поделила все электромагнитные конструкции на класс «частиц» и класс «квантов» эфира, чтобы из «частиц» создавать далее сложную материю, но создавать с помощью квантов эфира. То есть кванты эфира, из которых состоят глюоны, Самой Природой (самой философией) не предназначены для того, чтобы из них создавать сложные конструкции (из них можно создавать только короткие «линейные»  типа их короткой череды-потока в конструкции глюона).

«Хоть поверьте, хоть проверьте», но квант (частица) эфира отличается от кварков (электронов, позитронов и нейтрино) тем, что хотя и имеет такую же конструкцию как и у частиц (по типу двух ортогональных преонных колец), но активным в этой конструкции кванта является лишь одно кольцо из двух ортогональных. Второе же кольцо не активно потому, что оно одинаково равносильно реагирует на любое встречаемое им в пространстве кольцо частицы или кванта, одномоментно и притягиваясь, и отталкиваясь этим встречным ему (любым) кольцом, то есть словно бы в результате «никак его не замечая». То есть квант эфира хуже чем частица умеет, в результате сказанного, отклоняться в пространстве в ортогональном направлении, то есть хуже умеет искривлять свой прямолинейный путь в пространстве. Искривление же его пути при столкновении с частицей или квантом «лоб в лоб» крайне неэффективно. Поскольку такое столкновение между квантами эфира происходит с относительной скоростью равной двум единицам скорости света, то кванты эфира, налетая друг на друга, «почти не видят» друг друга в пространстве, проходя друг сквозь друга и отклоняясь в результате такого взаимодействия на чрезвычайно малую величину. Другое дело, когда частица эфира налетает на любую другую ортогонально к курсу этой другой, то есть с единичной взаимной скоростью света. Здесь взаимодействие будет максимально сильным «резонансным».

Ваша оценка очень важна

0
Шрифт
Фон

Помогите Вашим друзьям узнать о библиотеке

Скачать книгу

Если нет возможности читать онлайн, скачайте книгу файлом для электронной книжки и читайте офлайн.

fb2.zip txt txt.zip rtf.zip a4.pdf a6.pdf mobi.prc epub ios.epub fb3