Александр Бакулин - Гравитация и эфир стр 67.

Шрифт
Фон


Тогда на долю 6-ти кварков будет приходиться (от средней энергии нуклона) следующая величина:



Энергия каждого из 6-ти кварков:



Но поскольку (с большой степенью точности, как мы уже упоминали выше) энергия поступательного движения кварка по орбите внутри нуклона равна 0,255 МэВ, то энергия вращательного движения кварка будет следующей:




Тогда из нашей формулы определим собственную частоту вращения кварка, следующего поступательно по нуклонной орбите (при частоте там его «оборота» по орбите ):



Далее, по графику рисунка 14.4 второго тома Философии (глава «Философия нуклона») находим для энергии кварка



скорость его поступательного движения по окружности в конструкции нуклона:



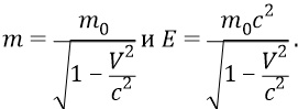
В соответствии с СТО Эйнштейна:




средняя величина между



и .


Итак, мы определили два фундаментальных параметра кварка-частицы в структуре нуклона:




Мы утверждаем, что найденные величины параметров кварка в структуре нуклона могут отличаться от их истинных природных значений лишь на малые проценты номиналов величин.

Теперь вернёмся к глюонам. Неприглядным фактом для последователей-приверженцев СТО является то, что они, в угоду Эйнштейну, фактически продолжают называть эти материальные частицы какими-то противными здравому смыслу «энергиями» (а ещё смешнее «безмассовыми частицами»), вгоняя тем самым здравого школьника в полное недоумение. Мы же видим эти глюоны как короткие потоки-импульсы квантов эфира (здесь, в нуклоне,  как кванты эфира высокочастотного его слоя, имеющие собственную длину волны, вдвое большую размера нуклона:



То есть каждый квант-частица эфира, из которых состоит глюон, делает на диаметре нуклона пол-оборота своей пространственной конструкции (а эта его конструкция, как мы помним, почти в точности повторяет конструкцию электрона).

Выразим теперь суммарную энергию глюонов (в каждое данное мгновение времени находящихся в полёте внутри нуклона, жёстко взаимодействуя при этом попарно с каждыми двумя противоположными кварками и принимающими таким образом участие в общей инерции нуклона-частицы) в джоулях:




Тогда из нашей формулы для суммарной энергии глюонов найдём их ньютонову массу (чтобы никакой «безмассовостью» здесь не пахло):



(напомним, что масса нуклона ).


Итак, в каждое мгновение времени, которое длится от момента излучения глюона кварком до момента приёма этого глюона «противоположным» кварком (нюансы этой «противоположности» смотри в главе 2-го тома «Философия нуклона»),



внутри конструкции нуклона действуют 6 пар глюонов (3 пары кварков «обстреливают» друг друга всего 12-ю глюонами). Следовательно, масса каждого из 12-ти глюонов составит величину:



а его энергия



или


Проверим теперь величину энергии глюона по его классической массе, используя СТО Эйнштейна:



против наших


Мы видим, что СТО Эйнштейна почему-то завысила энергию глюона против нашей в



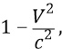
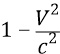
Это произошло потому, что СТО при высоких скоростях частиц занижает оценку их инерционной массы, а следовательно, оценку полной энергии частиц. Почему так происходит? Потому что СТО выбрала для высокоскоростных процессов неверную аппроксимацию инерционных масс частиц и их энергий с помощью корня Лоренца, стоящего в знаменателе формул СТО типа, например, следующих:

против наших


Мы видим, что СТО Эйнштейна почему-то завысила энергию глюона против нашей в



Это произошло потому, что СТО при высоких скоростях частиц занижает оценку их инерционной массы, а следовательно, оценку полной энергии частиц. Почему так происходит? Потому что СТО выбрала для высокоскоростных процессов неверную аппроксимацию инерционных масс частиц и их энергий с помощью корня Лоренца, стоящего в знаменателе формул СТО типа, например, следующих:



Здесь этот корень Лоренца уменьшает в квадрате значения величины



а следовательно, увеличивает в квадрате значения инерционных масс частиц и их энергий , при какой-то высокой скорости частиц . Это не значит, что СТО с помощью корня ошибается именно на значение «в квадрате» (на самом деле ошибается для каждой данной высокой скорости в своё определённое число раз, о чём мы скажем ниже). Но ошибка есть, и она существенна именно в области высоких скоростей частиц.

Однако даже и при этом корня квадратного недостаточно для того, чтобы этой теории вписаться в реалии высокоскоростных частиц. Для СТО надо было бы ещё круче уменьшать величину



для того, чтобы она ещё круче увеличивала значения и при высоких скоростях. То есть надо было бы применить аппроксимацию между корнем кубическим и корнем квадратным. То есть надо было бы сделать так:



для высоких

Тогда бы математический знаменатель был бы ещё меньше, а инерционные массы и энергии были бы выше и соответствовали бы действительности (как мы в том уверены).

Заметим, что нигде ни в каких книгах и ни в каких статьях физиков и даже дилетантов мы не встречали подобного анализа теоретических формул СТО, какой мы делаем здесь, а также в главе «Философия нуклона» второго тома книги.

В главе «Философия нуклона» мы обращали внимание школьника на то, что приблизительное совпадение оценок масс и энергий двумя методами нашим «классическим» и методом СТО сохраняется лишь до скоростей частиц порядка . Но уже начиная со скоростей порядка оценка коэффициента увеличения инертной массы частицы, сделанная нашим «классическим» методом, более чем вдвое превышает оценку массы методом СТО. При скоростях же величина нашей оценки на порядок превосходит оценку методом СТО. И наконец, для скорости частицы наша оценка превосходит оценку массы методом СТО на 2 порядка величины (в 102,44 раза).

Ваша оценка очень важна

0
Шрифт
Фон

Помогите Вашим друзьям узнать о библиотеке

Скачать книгу

Если нет возможности читать онлайн, скачайте книгу файлом для электронной книжки и читайте офлайн.

fb2.zip txt txt.zip rtf.zip a4.pdf a6.pdf mobi.prc epub ios.epub fb3