Александр Бакулин - Гравитация и эфир стр 118.

Шрифт
Фон

Но сейчас мы сделаем хитрый ход (по отношению к задаче получения требуемой формулы, согласующейся и с теорией о потенциальной энергии, и с реалиями изменения поля в «атомном конденсаторе». Мы перенесём закон от изменения по нему напряжённости Е на изменение по нему перемещения заряда в поле источника. При этом учтём тот факт, что в нашем «конденсаторе» перемещение заряда по удаляющимся орбитам происходит равномерными дискретами



Запишем формулу:



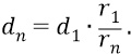
В ней закон изменения расстояния орбиты от её номера n квадратичный и точно такой же как закон изменения напряжённости в зависимости от номера орбиты n. Так, при очень больших номерах n расстояние стремится к нулю, то есть стремится к точке нулевого (самого «высокого» по номерам орбит) потенциала поля источника. По мере же уменьшения номера орбиты величина растёт, достигая самого своего большого значения в точке орбиты . Поэтому, сравнивая формулы для и в зависимости от члена (закон ), мы можем воспринимать закон изменения потенциальной энергии не в зависимости от изменения перемещения заряда в однородном поле, но в такой же зависимости изменения напряжённости поля (теперь неоднородного) в равномерном «пересчёте» номеров орбит:



Напомним, что потенциальная энергия () отрицательна. Поэтому уменьшение напряжённости с ростом номера n соответствует уменьшению отрицательной величины, то есть увеличению потенциальной энергии атомной системы.

Найдём, например, значение потенциальной энергии для положения системы с электроном на второй орбите:



или



Теорема вириала говорит нам о том, что кинетическая энергия электрона второй орбиты должна быть вдвое меньше абсолютного значения потенциальной энергии системы:



или 8,1709678 эВ.


По ходу дела, в отличие от физиков, в нашей квантовой физике мы можем найти величину линейной скорости электрона на второй атомной орбите (как и на всех других):



Полная энергия атомной системы для уровня второй орбиты электрона:



или 8,1709678 эВ.


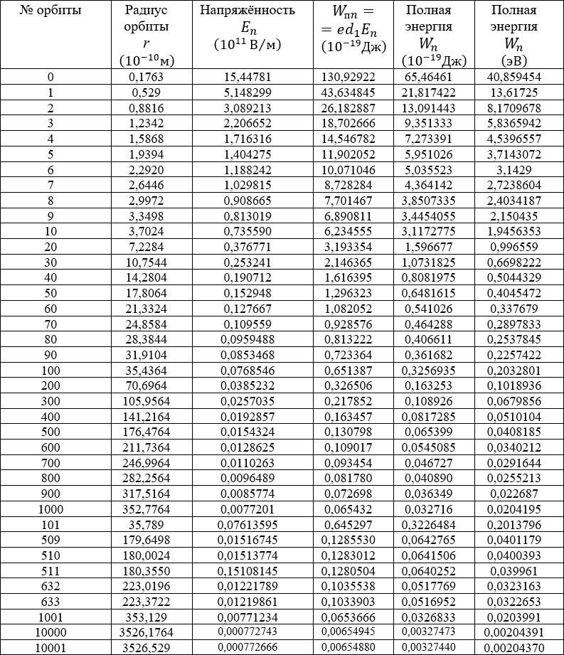
Аналогичным образом мы вычисляем значения потенциальных энергий системы для всех других орбит и заносим их в таблицу 21.1.

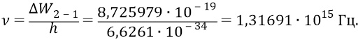
Далее вычислим, например, длину волны фотона, излучаемого атомом в переходе 21.



По формуле Планка частота соответствующего фотона должна была бы определиться следующим образом:




Однако, забегая вперёд, мы (здесь пока без объяснений) скажем о том, что порция энергии излучаемая в переходе, принадлежит на самом деле не полному фотону, видимому физиками, но лишь одной полуволне этого полного фотона. То есть тот фотон, который видят физики, соответствующий переходу 21, излучается сразу двумя разными атомами в одно и то же время. Поэтому действительной порцией энергии, соответствующей полному (двух полупериодному фотону), должна быть энергия вдвое большая найденной нами, то есть энергия:

или 10,892564 эВ.


И поэтому частота соответствующего фотона, видимого физиками, но излучаемого на самом деле сразу двумя разными атомами, должна быть (по нашим числовым значениям) следующей:



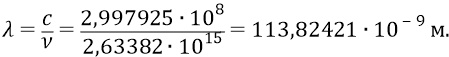
что даёт длину волны фотона



Физики же «видят» длину волны фотона, соответствующую переходу 21, равную (121,57 нанометров). Любые же наши расчёты должны удовлетворять опыту физиков. Поэтому ту длину волны, которую только что определили, мы вправе назвать не «длиной волны фотона», но длиной волны, соответствующей атомным переходам 21



И поскольку она по расчётам получается в



меньшей опытной, то мы можем, в первом приближении, ввести в свои расчёты коэффициент К=1,068, физика которого может объясниться «сшиванием» двух полупериодов двух полуволн того полного фотона, который излучается двумя разными атомами в одно и то же время и воспринимается физиками как излучение одним атомом полного фотона. Поэтому запишем для всех наших фотонов:



В частности, для фотона, излучаемого атомами в переходе

21:



что будет соответствовать и опыту физиков, и нашим расчётам энергий, занесённым в таблицу 2.1.

Однако в своих последних прикидках и даже в заполнении таблицы 21.1 мы сильно забежали вперёд. Обратимся сначала к философии квантово физического описания атома.


Таблица 21.1


Планк в своей теории теплового излучения не говорил о «квантах энергии», но говорил о порциях энергии (или об «элементах энергии»), излучаемых атомами нагретых тел. Чем больше порция энергии тем больше «частота излучения» . Планк не заострял также внимание на том, что конкретно излучается: то ли волна, то ли «сигнал», то ли даже «квант», названный позже «фотоном». У Планка излучалась просто «порция энергии». У него колебался никакой не атом (до планетарной атомной модели в 1900 году было ещё далеко), но просто математическая модель, которая называлась «осциллятором». И этот осциллятор при своём колебании излучал «порции энергии» частотой . А эту «частоту» спектроскописты непосредственно «видели» в своих приборах как колебания, например, света в виде последовательности светлых и тёмных полос какой-нибудь дифракционной картины, рисуемой светом при его падении на какую-нибудь специальную «дифракционную решётку», от которой свет отражался в объектив микроскопа, в окуляр которого смотрел глаз спектроскописта. Далее исследователь считал (глядя в микроскоп) количество повторяющихся светлых полос (как максимумы интенсивностей падающего и отражённого света), укладывающихся на каком-нибудь эталоне длины, и определял расстояние между этими максимумами как длину волны исследуемого света. Затем вычислялась частота света:

Ваша оценка очень важна

0
Шрифт
Фон

Помогите Вашим друзьям узнать о библиотеке

Скачать книгу

Если нет возможности читать онлайн, скачайте книгу файлом для электронной книжки и читайте офлайн.

fb2.zip txt txt.zip rtf.zip a4.pdf a6.pdf mobi.prc epub ios.epub fb3