Александр Бакулин - Гравитация и эфир стр 114.

Шрифт
Фон

Итак, классическая сфера поля положительного заряда в атоме на самом деле «стягивается» в тонкую окружность атомной орбиты. А это значит, что поле заряда (Е) распределяется теперь на любом радиусе удаления от заряда не по площади , но по дуге-линии-орбите . Поэтому формула для кулоновской силы должна бы в атоме трансформироваться, в соответствии с действительной физикой процесса, из её вида

в вид



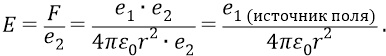
где напряжённость поля, действующего на заряд (электрон) представляется в виде:



Но на самом деле, если мы возьмём пробный заряд (электрон), поместим его на окружность орбиты, принадлежащую сфере, и измерим силу, с которой заряд притягивается к источнику поля , то эта сила для данного атома будет какой-то конкретной (независимо от разных формул, пытающихся её интерпретировать по-своему). То есть левые части разных формул (с символом в них Е) безусловно совпадают по своему единственному (опытному) значению. Но вот с правыми частями формул предположения у нас с физиками разные.

Ещё раз о напряжённости поля. Если в поле заряда (протона) поместить заряд (электрон), то напряжённость поля в точке заряда определяется силой F, действующей на этот заряд (на электрон). Эта напряжённость равна отношению силы к этому заряду :



Далее, поскольку мы будем переходить к вычислениям, то, говоря о поле Е, будем иметь в виду единичный заряд протона и поэтому будем опускать значёк-наименование заряда () и использовать его обобщённое обозначение е.

Итак, физики говорят, что закон изменения напряжённости при удалении от заряда-источника поля должен быть обратно пропорционален квадрату удалённости от заряда-источника:



Но мы утверждаем, что закон изменения напряжённости обязан быть обратно пропорционален первой степени удалённости от заряда:



(поле заряда растекается по тонкой окружности орбиты).


Как примирить обе эти формулы при том, что они обязаны давать одинаковый результат в базовой «точке»  на окружности первой боровской орбиты? Ведь для этого базового режима работы атома разными физиками определены физические постоянные, подтверждённые опытом спектроскопистов.

Кроме того, если у физиков формула для Е даёт классическую размерность напряжённости В/м, то в нашей желаемой формуле размерность явно искажена. Поэтому, для того чтобы всё же отстоять верный закон изменения напряжённости, соответствующий природе атомного резонанса, нам ничего не остаётся, как по форме оставить нашу формулу верного закона, но ввести в неё корректирующий коэффициент, уравнивающий эту формулу с формулой физиков:



Здесь теперь соблюдена и размерность Е, и её величина. Однако мы не имеем права оставлять далее в формуле коэффициент , но должны его: с одной стороны учесть, с другой убрать с глаз долой. И поэтому нам не остаётся ничего другого, как ввести в физику новую постоянную, которая будет называться не

«электрическая постоянная»,

но «электрическая атомная постоянная».


И тогда формула для закона напряжённости внутриатомного поля будет следующей:



Проверим размерность напряжённости Е:



Здесь использовано фундаментальное определение потенциала :


потенциал


Вычислим теперь значение новой «атомной электрической постоянной» для фундаментальной «точки» поля как для значения поля на уровне первой боровской орбиты:




«Фарад»  это единица электрической ёмкости. Получается, что напряжённость поля Е, создаваемая зарядом (протоном ядром атома):

прямо пропорциональна этому заряду (что естественно и очевидно);

обратно пропорциональна первой степени (линейной) удалённости точки положения электрона от ядра (к чему мы стремились);

обратно пропорциональна электрической ёмкости между точкой (заряда-ядра) и окружностью той орбиты, на которой находится электрон на удалении от ядра.

То есть чем больше ёмкость того местоположения, по которому может «растекаться» заряд (электрон на линии дуге окружности), тем меньше напряжённость поля Е на этой дуге окружности. Всё соответствует физике электрических величин и электрических процессов внутри атома.

Ещё раз. Конструкцию атома можно представить в виде электрического конденсатора, состоящего из двух «обкладок». Первая обкладка точечная; там на ней находится положительный заряд ядра атома (протон как единичный положительный заряд ). Вторая обкладка «конденсатора»  это дуга-окружность атомной орбиты, куда «притёк» на эту обкладку заряд электрона , равный по величине, но противоположный по знаку заряду ядра. Можно даже сказать, что поскольку на первой обкладке оказался положительный заряд, то на второй обкладке (на дуге окружности) «навёлся» такой же по величине, но отрицательный заряд в виде заряда единичного электрона.

Ещё раз. Конструкцию атома можно представить в виде электрического конденсатора, состоящего из двух «обкладок». Первая обкладка точечная; там на ней находится положительный заряд ядра атома (протон как единичный положительный заряд ). Вторая обкладка «конденсатора»  это дуга-окружность атомной орбиты, куда «притёк» на эту обкладку заряд электрона , равный по величине, но противоположный по знаку заряду ядра. Можно даже сказать, что поскольку на первой обкладке оказался положительный заряд, то на второй обкладке (на дуге окружности) «навёлся» такой же по величине, но отрицательный заряд в виде заряда единичного электрона.

Ваша оценка очень важна

0
Шрифт
Фон

Помогите Вашим друзьям узнать о библиотеке

Скачать книгу

Если нет возможности читать онлайн, скачайте книгу файлом для электронной книжки и читайте офлайн.

fb2.zip txt txt.zip rtf.zip a4.pdf a6.pdf mobi.prc epub ios.epub fb3