Александр Бакулин - Гравитация и эфир стр 113.

Шрифт
Фон

В квантовой же механике физики называют «без излучательным» тот переход, когда атом сталкивается с другой частицей и теряет энергию на столкновение с ней или наоборот приобретает энергию. В частности, к такого типа переходам они относят возбуждение атома электронным ударом. Правда, при этом физики умалчивают о том, почему в этих случаях переход получается без излучательным. Для них, если в результате перехода отсутствует фотон излучения, то значит переход без излучательный. Но в любом таком случае орбитальный электрон всё равно переходит на другой уровень. И если он туда переходит, то фотон атомом обязан излучаться. Но физики просто не видят этот фотон. Более того, теория квантовой механики разрешает физикам не думать по поводу того, почему в этих случаях переход получается без излучательным.

Мы не будем и далее углубляться в физику «без излучательных» переходов. Школьник же, поняв истинную квантовую природу атома (классическую природу), сможет помочь профессионалам разобраться в гигантском разнообразии «без излучательных» переходов и в гигантском разнообразии тех фотонов, которые на самом деле излучаются атомом в этих переходах.

Мы не будем и далее углубляться в физику «без излучательных» переходов. Школьник же, поняв истинную квантовую природу атома (классическую природу), сможет помочь профессионалам разобраться в гигантском разнообразии «без излучательных» переходов и в гигантском разнообразии тех фотонов, которые на самом деле излучаются атомом в этих переходах.

В атомной решётке какого-нибудь кристалла или металла «наблюдаются» многочисленные «незатухающие» эллиптические орбиты электронов многоэлектронных там атомов решётки. Но они не затухают лишь потому, что постоянно возбуждаются одними и теми же фотонами одних и тех же энергий, следующих для данной орбиты данного атома с одних и тех же направлений от других (соседних и «далёких» атомов), возбуждаемых, в свою очередь, другими фотонами, излучёнными соседними или «далёкими» атомами. «Одни и те же фотоны» излучаются другими атомами и подлетают к данному с высокой степенью периодичности лишь по причине жёсткой согласованности всех орбит всех атомов кристалла. Согласованность же приводит не только к высокой направленности излучаемых фотонов, но к высокой степени суммируемости этих фотонов, следующих в каком-то данном направлении сразу от суммы следующих друг за другом атомов решётки.

Разбираться в механике и энергетике всех этих согласованностей для каждого типа вещества интереснейшая работа не столько для физиков и химиков, сколько для самих школьников, которые смогут запросто заменить профессионалов в этой «рутинной» для профессионалов работе. Надо только в школьных кабинетах развернуть соответствующий лабораторный стенд, оборудованный сравнительно недорогими приборами. В результате мы получим множество школьников, увлечённых физикой и химией ещё не выходя из школы. А некоторые из них будут влюблены в науку, даже самостоятельно программируя новые материалы, доселе невиданные человеком.

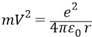
Теперь мы специально обратим внимание школьника на тот рубеж, на котором Нильс Бор отошёл от классического пути исследования атома в сторону чисто энергетического пути, где уже отсутствовали силы, орбиты и скорости электронов. Бор начинает свои выводы сначала с классики, а именно,  со сравнения сил, действующих на электрон на стационарной орбите. Он приравнивает центростремительную силу, действующую на орбитальный электрон (с точки зрения классической механики движения тела массой m по окружности), с силой Кулона, действующей на этот же электрон (с точки зрения электростатики):



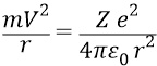
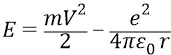
Полной энергией электрона (E) на круговой орбите является сумма его кинетической и потенциальной энергии (для «единичного» заряда Z=1):



Но далее Бор уходит в своём выводе от кинетической энергии движения электрона, заменяя произведение содержащее кинетические параметры m и V (из первого выражения) на энергетические, то есть начинает работать только с энергиями:



И тогда



То есть полная энергия атомной системы у Бора оказывается равной половине отрицательного значения потенциальной энергии электрона (системы). Об этом же мы уже много говорили ранее, выше по тексту.

И далее Бор уже не говорит больше ни о каких «кинетических энергиях», а орбиты превращаются у него просто в «уровни энергии», то есть в «энергетические полочки», по которым электрон не движется в соответствии с реальными в атоме законами механики и электродинамики, но скачет с орбиты на орбиту по новеньким законам только что родившейся механики как чисто математически-энергетической теории, получившей название «квантовой механики».

Эта новая механика согласуется с опытом спектроскопических исследований физиков «в первом приближении» (как мы выражаемся), хотя на первый взгляд это «приближение» выглядело тогда, в первой четверти 20-го века, довольно впечатляющим. Но только классика, которой мы здесь пытаемся заниматься, способна исследовать атом не «в первом приближении», но досконально точно, с точностями цифр, теряющимися во многих знаках после запятой.

Ваша оценка очень важна

0
Шрифт
Фон

Помогите Вашим друзьям узнать о библиотеке

Скачать книгу

Если нет возможности читать онлайн, скачайте книгу файлом для электронной книжки и читайте офлайн.

fb2.zip txt txt.zip rtf.zip a4.pdf a6.pdf mobi.prc epub ios.epub fb3