Валентин Юльевич Арьков - Анализ рядов динамики в электронных таблицах стр 4.

Шрифт
Фон

6. Зарисовки графиков

На следующих страницах отчёта мы сделаем зарисовки общей формы графиков наших исходных данных.

Изобразим три компонента по отдельности и их соединение в виде моделей рядов динамики (аддитивной и мультипликативной). Зарисовки делаем от руки на бумаге. Фотографируем и вставляем в отчёт, как обычно.

Зарисовки для каждой из обеих моделей расположим на разных листах отчёта.

Задание. Создайте две новые страницы в отчёте и дайте им соответствующие заголовки.

6.1. Аддитивная модель

Аддитивную модель будем строить по следующим формулам (рис. 6.1).


Рис. 6.1. Уравнения аддитивной модели


Вставляем формулы в отчёт (рис. 6.2). Продолжаем тренироваться писать от руки.


Рис. 6.2. Аддитивная модель


Задание. Запишите формулы аддитивной модели и вставьте в отчёт.

6.1.1. Тренд

Вначале займёмся трендом. Запишем уравнение тренда для нулевого варианта (рис. 6.3).


Рис. 6.3. Уравнение тренда


Задание. Вставьте в отчёт уравнение тренда в соответствии со своим вариантом.


Теперь сделаем зарисовку формы тренда по нашему уравнению. Это уравнение прямой линии. Поэтому для построения графика достаточно взять две точки (рис. 6.4).


Рис. 6.4. Форма тренда


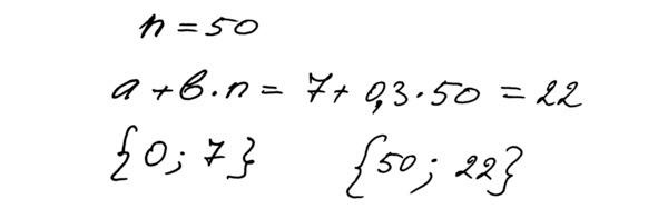
Линия тренда пересекает ось y в точке a. Это первая точка на графике. Координаты первой точки {0; a}.

Мы рассматриваем n отсчётов по времени. Значит, в правой части мы доходим до значения a + bn. Координаты второй точки {n; a + bn}.

Подставим параметры нулевого варианта. Получаем следующие точки (рис. 6.5).


Рис. 6.5. Расчёты тренда


Переходим к зарисовке тренда (рис. 6.6). Выбираем масштаб  «красивые» круглые числа. По горизонтальной оси от 0 до 50. По вертикальной оси от 0 до 30. Проводим линию тренда. Очень приблизительно. На глазок. Без линейки. Вставляем в отчёт.


Рис. 6.6. Зарисовка тренда


Задание. Сделайте зарисовку линии тренда и вставьте в отчёт.

6.1.2. Сезонность

В формулу для сезонности мы заложили, «спрятали» определённый период колебаний. Период  это промежуток времени, через который график повторяется. Период колебаний Tк и коэффициент при переменной t связаны по следующим формулам (рис. 6.7).


Рис. 6.7. Уравнения колебаний


Коэффициент А определяет амплитуду колебаний.

Период колебаний традиционно обозначают латинской буквой Т. Мы добавим индекс к, чтобы отличать его от тренда, который тоже обозначили через Т. Такие сложности с обозначениями часто бывают при работе на стыке дисциплин. В нашем случае это одновременная работа с физикой и экономической статистикой. Физика изучает механические процессы вращения и колебаний. Статистика изучает колебания цен и других показателей в экономике.

Сезонные колебания связаны с временами года. Попробуйте угадать с одного раза: с какой периодичностью к нам приходит Новый год? Через сколько месяцев? Вот это и есть период сезонных колебаний. С таким периодом происходит, например, ежегодный всплеск цен на турпоездки в тёплые страны.

Частота колебаний f  это величина, обратная периоду колебаний Тк. Это количество колебаний или оборотов в единицу времени. Частота по-английски называется FREQUENCY. Видимо, поэтому частоту обозначают латинской буквой f.

Круговая частота «омега» связана с частотой f через множитель «два пи». Это коэффициент при t в аргументе функции синуса (рис. 6.8).

КОНЕЦ ОЗНАКОМИТЕЛЬНОГО ОТРЫВКА

Круговая частота «омега» связана с частотой f через множитель «два пи». Это коэффициент при t в аргументе функции синуса (рис. 6.8).


Рис. 6.8. Период колебаний


Задание. Вычислите период сезонных колебаний.


Мы разобрались с периодом колебаний. Теперь можно записать уравнение для сезонных колебаний в нашей аддитивной модели (рис. 6.9). Здесь учитывается амплитуда и период колебаний для нулевого варианта.

Вставляем уравнение в отчёт.


Рис. 6.9. Уравнение сезонности


Задание. Запишите уравнение сезонных колебаний для своего варианта и вставьте в отчёт.


Наконец-то у нас появилось уравнение для сезонных колебаний. Теперь можно сделать зарисовку графика.

График синусоиды проходит через ноль в точках 0, 6, 12, 18 и так далее. Это шаг, равный половине периода колебаний. Минимумы и максимумы будут соответственно в точках 3, 9, 15 и так далее.

Сделаем схематичную, примерную зарисовку графика сезонности (рис. 6.10). Вставляем график в отчёт.


Рис. 6.10. Зарисовка сезонности


Задание. Сделайте зарисовку графика сезонности по своему варианту и вставьте в отчёт.

6.1.3. Случайность

Рассмотрим случайную составляющую модели. Мы будем использовать стандартное нормальное распределение со средним значением 0 и дисперсией 1. Обозначение такое: N (0; 1). Латинская буква N означает «нормальное распределение». Числа в скобках  это две характеристики распределения: среднее равно 0, сигма (с.к.о.) равна 1

По «правилу трёх сигм» большинство значений будет находиться в диапазоне «среднее плюс-минус три сигмы». Коэффициент d в нашей модели определяет значение сигмы в каждом варианте. Поэтому диапазон значений получается следующий (рис. 6.11).


Рис. 6.11. Разброс случайности


Задание. Оцените размах значений случайной составляющей и вставьте свои выкладки в отчет.


Пришло время для зарисовки случайной составляющей. В нулевом варианте будет 50 отсчётов по времени. Размах значений мы уже определили.

Ваша оценка очень важна

0
Шрифт
Фон

Помогите Вашим друзьям узнать о библиотеке

Скачать книгу

Если нет возможности читать онлайн, скачайте книгу файлом для электронной книжки и читайте офлайн.

fb2.zip txt txt.zip rtf.zip a4.pdf a6.pdf mobi.prc epub ios.epub fb3